EasyManua.ls Logo

Uniwill 340S2 - Page 69

Default Icon
88 pages
Print Icon
To Next Page IconTo Next Page
To Next Page IconTo Next Page
To Previous Page IconTo Previous Page
To Previous Page IconTo Previous Page
Loading...
Chapter 5 Troubleshooting Guidelines
340S2 69 Rev : B
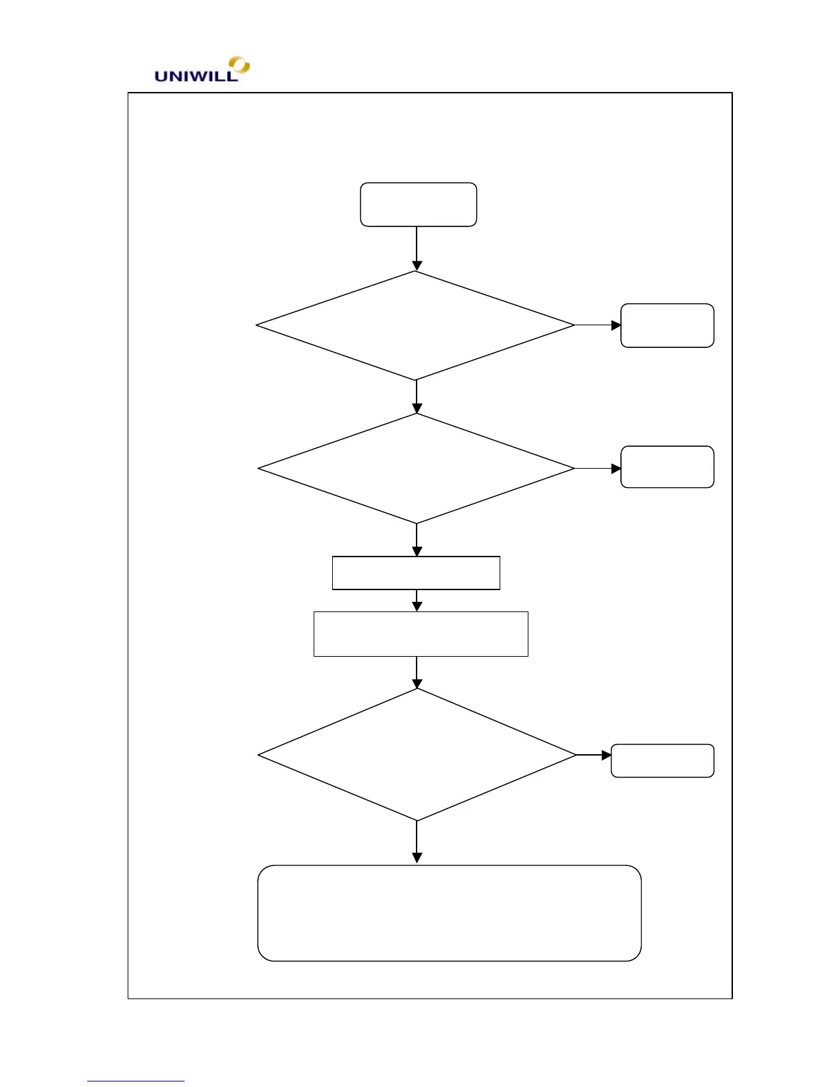
5.15 CD-ROM drive test error
An error message is shown when reading data from CD-ROM drive
Check drive is install
OK?
Check cable & Door is
closed
Correct it
Correct it
Re-soldering
Check one of the following parts or signal on the M/B
may be defective, use an oscilloscope to check it.
CDROM Failure
No
Yes
Yes
Replace Motherboard
Board Level Troubleshooting
No
Check SIS 630 Chipset
and CDROM connector
for cold solder?
Yes
No