EasyManua.ls Logo

Vector TCI-W11-U Series - Page 16

Vector TCI-W11-U Series
24 pages
Print Icon
To Next Page IconTo Next Page
To Next Page IconTo Next Page
To Previous Page IconTo Previous Page
To Previous Page IconTo Previous Page
Loading...
TCI-W11-U, TCI-W22-U Universal Controller
OUTPUT CONFIGURATION
Doc: 70-00-0140C, V2.0-20220523 © Vector Controls LLC, USA Page 16-24
Subject to alteration
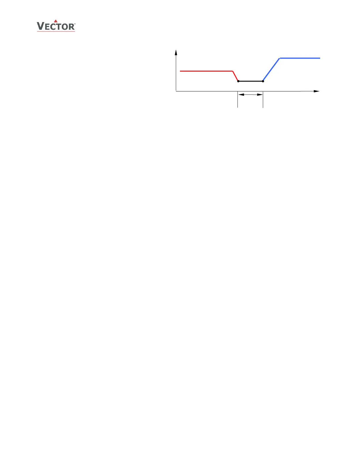
For VAV Function individual minimum and
maximum limits may be assigned for cooling and
heating. In VAV applications maximum cooling
output matches the maximum air volume the
VAV box is set to deliver. As demand for airflow
in cooling mode decreases, airflow dwindles until
it reaches minimum cooling output (1A05). This
minimum will be based on the airflow needed at
design cooling and is typically 10% to 15% of
maximum cooling airflow. When this minimum is
reached the system is in dead-band neither
heating nor cooling. Minimum airflow in heating
mode is set with 1A03. As the system moves into
heating mode, heating airflow increases until it reaches the maximum heating output (1A04), typically 30 to 50% of
maximum cooling airflow.
W
H
W
C
100
50
0
Y
H1
,Y
R1
X
DZ
Y
C1,
Y
D1
Heating
Cooling
1A04
1A05
1A03
1A06
T (°C/F), U(V, mA)

Related product manuals