EasyManua.ls Logo

ViewSonic 17PS-2 - Page 37

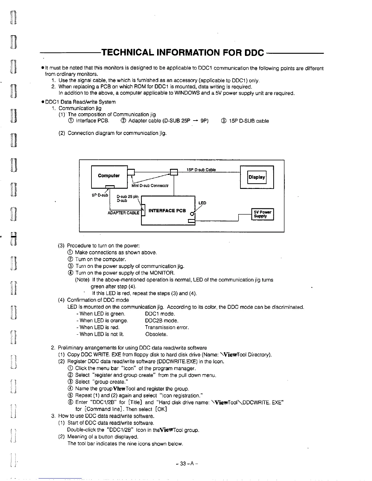
ViewSonic 17PS-2
81 pages
Print Icon
To Next Page IconTo Next Page
To Next Page IconTo Next Page
To Previous Page IconTo Previous Page
To Previous Page IconTo Previous Page
Loading...

Related product manuals