EasyManua.ls Logo

Vimar ELVOX 887U - Page 14

Vimar ELVOX 887U
16 pages
Print Icon
To Next Page IconTo Next Page
To Next Page IconTo Next Page
To Previous Page IconTo Previous Page
To Previous Page IconTo Previous Page
Loading...
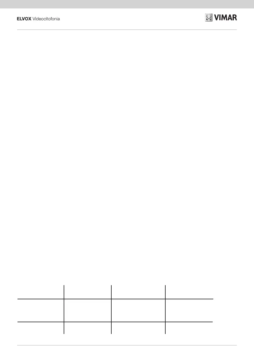
Sezione conduttori - Conductor section
Sections des conducteurs-Leiterquerschnitt
Secciones conductores-Secção condutores
Conduttori-Conductors fino a 50m-up to 50m fino a 100m-Ø up to 100m fino a 200m-up to 200m
Conductors-Leitungslänge jusqu’à 50m-bis 50m jusqu’à 100m.-Ø bis 100m jusqu’à 200m.-bis 200m
Conductores-Condutores hasta 50m - até 50m hasta 100m - até 100m hasta 200m -até 200m
Comune e serratura
Common and lock
Commun et gâche
Gemeinsame und Türöffner 0,5 mm
2
0,75 mm
2
1,5 mm
2
Común y cerradura
Commun e trinco
Altri-Others-Autres
Andere-Otros-Outros 0,25 mm
2
0,5 mm
2
1 mm
2
SETTAGGIO JUMPERS “CN5-CN6”
C+ IMPIANTO CITOFONICO CON COMUNE POSITIVO (MORSETTO 3)
C- IMPIANTO CITOFONICO “ELVOX” O CON COMUNE NEGATIVO (MORSETTO 3)
SETTAGGIO JUMPERS “CN5-CN6”
E IMPIANTO CITOFONICO CON SISTEMA DI CHIAMATA ELETTRONICA (SOUND SYSTEM)
C.A. IMPIANTO CITOFONICO CON SISTEMA DI CHIAMATA C.A.
SETTING OF JUMPERS “CN5-CN6”
C+ AUDIO ENTRY SYSTEM WITH POSITIVE COMMON (TERMINAL 3)
C- “ELVOX” AUDIO ENTRY SYSTEM OR SYSTEM WITH NEGATIVE COMMON (TERMINAL 3)
SETTING OF JUMPERS “CN5-CN6”
E AUDIO ENTRY SYSTEM WITH ELECTRONIC CALL SYSTEM (SOUND SYSTEM)
AC AUDIO ENTRY SYSTEM WITH AC CALL SYSTEM
PROGRAMACIÓN PUENTES “CN5-CN6”
C+ INSTALACIÓN PORTERO ELÉCTRICO CON COMÚN POSITIVO (BORNE 3).
C- INSTALACIÓN PORTERO ELÉCTRICO ”ELVOX” O CON COMÚN NEGATIVO (BORNE 3).
PROGRAMACIÓN PUENTES “CN5-CN6”
E INSTALACIÓN PORTERO ELÉCTRICO CON SISTEMA DE LLAMADA ELCTRÓNICA (SOUND SYSTEM) C.A.
C.A. INSTALACIÓN PORTERO ELÉCTRICO CON SISTEMA DE LLAMADA C.A.
RÉGLAGE CÂBLES DE JONCTION «CN5-CN6»
C+ POSTE INTERPHONE AVEC COMMUN POSITIF (BORNE 3)
C- POSTE INTERPHONE « ELVOX » OU AVEC COMMUN NÉGATIF (BORNE 3)
RÉGLAGE CÂBLES DE JONCTION «CN5-CN6»
É POSTE INTERPHONE AVEC SYSTÈME D’APPEL ÉLECTRONIQUE (SOUND SYSTEM)
C.A. POSTE INTERPHONE AVEC SYSTÈME D’APPEL C.A.
EINRICHTEN DER JUMPER “CN5-CN6”
C+ SPRECHANLAGE MIT GEMEINSAMEM PLUSKONTAKT (KLEMME 3)
C- SPRECHANLAGE “ELVOX” ODER MIT NEGATIVKONTAKT (KLEMME 3)
EINRICHTEN DER JUMPER “CN5-CN6”
E SPRECHANLAGE MIT ELEKTRONISCHEM RUFSYSTEM (SOUND SYSTEM)
AC SPRECHANLAGE MIT WECHSELSTROMRUF
14
887U

Related product manuals