Home
Vivitar
Scales
BTPro
Page 10 (App Chart Feature)
Vivitar BTPro - App Chart Feature
14 pages
Manual
Save Page as PDF
To Next Page
To Next Page
To Previous Page
To Previous Page
Loading...
9
(
N',-%
(
(
F&(D*$J(
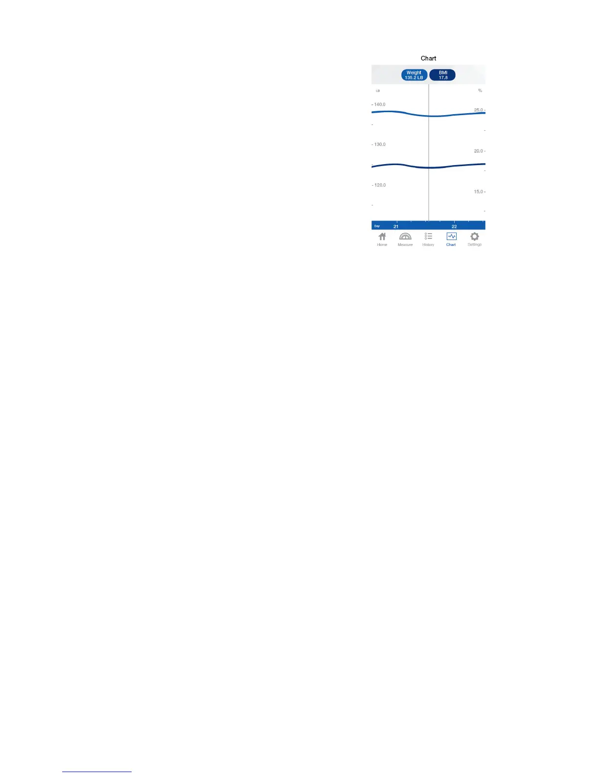
H&#-(J$*+'%("&33(I-&+-$33(*2(
,2($,3H(%&(-$,E(0',-%A(I-$33(%'$(N',-%(
%,K(,%(%'$(K&%%&.(&G(%'$(,II(30-$$2B((FJ&("*2$3(J*""(3'&J(H&
#-(
.$,3#-$.$2%
('*3%&-H(G
&-(J$*+'%(
,2E(!41B
((
S&#(0,2(I*20
'(%&(l&&.(*2(&-(&#%(
&G(%'$(0',-%B((
(
(
(
9
11
Table of Contents
Main Page
Package Contents
3
Features and Specifications
3
Overload Indicator
4
Replacing Batteries
4
Troubleshooting
11
Regulatory Notices
12
Sakar Warranty Card
14