EasyManua.ls Logo

Western Airconditioning Epsilon Echos+ 9 - Functionality and Control Descriptions; System Integration and Compensation

Western Airconditioning Epsilon Echos+ 9
40 pages
Print Icon
To Next Page IconTo Next Page
To Next Page IconTo Next Page
To Previous Page IconTo Previous Page
To Previous Page IconTo Previous Page
Loading...
Epsilon Echos +
7
DESCRIPTION FOR FUNCTIONS AND AC-
CESSORIES
Condensation/evaporation control with fan rev. regula-
tor (standard)
The microprocessor control monitors all the operating para-
meters of the unit and constantly regulates the speed of the
fans by means of a rev. regulator to optimize the operating
conditions and efficiency of the unit.
As a result, the unit also runs much more quietly. The con-
trol device typically modulates the speed of the fans at night
and during half-season. The machine therefore minimizes fan
speed and the level of noise at every given opportunity.
Remote ON/OFF from digital input (standard)
All the units come with this function as standard. It consists of
a remote contact for turning the machine on and off by means
of a signal that can be taken inside the building by a Building
Management System (BMS).
Summer/winter selection from digital input (standard)
This function is standard for all heat pumps. When you switch
on the unit, you need to set either heat pump or chiller mode.
The remote contact makes it possible to change the work
mode even inside the building and without direct access to the
microprocessor control.
Electronic thermostatic valve (standard)
This accessory is recommended for units that have to tolerate
highly variable refrigeration load or variable working condi-
tions, for example when managing both air conditioning and
the production of water at a high temperature. Use of the
electronic thermostatic valve makes it possible to:
• maximise the heat exchange to the evaporator
• minimise time of response to variations in load and working
conditions
• optimise the regulation of over-heating
• guarantee maximum energy efficiency
Standard also for /LE and /LE/HP units.
Brine Kit
This accessory is required when the outlet temperature of the
evaporator is within the range of +3°C and -8°C. It consists of
extra thermal insulation of the exchanger and tubes, specific
calibration of the low pressure gauges and anti-freeze alarm,
and testing of the size of the mechanical thermostatic valve.
Filling system with manometer
This accessory enables automatic loading of the hydraulic sys-
tem and correct adjustment of the working pressure shown on
the manometer, and maintains the level of pressure in the hy-
draulic system refilling the system with water when necessary.
Anti-freeze heater
These heaters are fitted on the exchanger, pump and tank
(depending on machine configuration) to prevent damage to
the hydraulic components due to the formation of ice when
the machine is out of use.
The control device monitors the outlet probe of the exchanger
(even when the unit is in standby) and when this registers
a water temperature of 5°C or less (or 2°C below the set
point temperature, with a differential of 1°C) it triggers the
antifreeze heater. When the temperature of the outlet water
reaches 4°C (or 3°C below the set-point), it also triggers the
anti-freeze alarm that stops the compressor without however
disabling the heaters.
Integration electrical heater
This is an electric heater installed in the inertia storage tank of
the ST 1PS module that helps the heat pump reach the setpoint
temperature when the power supplied by the machine is not
sufficient for the load.
The accessory is available only for version /HP /ST 1PS
RS485 serial interface
The increasing use of home automation and BMS (Building
Management System) systems has led to the need for a single
comprehensive supervision system for all the various compo-
nents. The unit can, therefore, be equipped with a serial board
that permits perfect integration of the machine within the
building-system” with MODBUS or CAREL communication
protocols
Remote user terminal
Intended for a professional user, this accessory consists of a
faithful reproduction of the control panel at which you can
fully configure the unit and view its parameters on the display
screen. The insertion of passwords is required to access the
parameters at different levels.
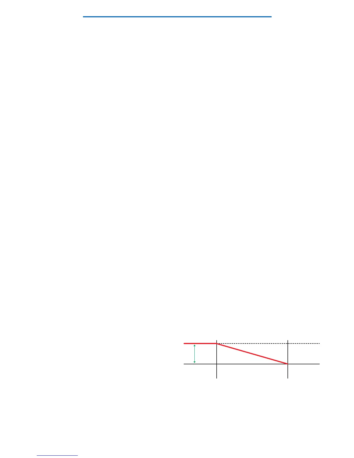
Compensation of the set-point depending on the exter-
nal air temperature
Units equipped with this microprocessor control accessory can
compensate the set point according to external air temperatu-
re. The compensation can be positive or negative: with positive
compensation, the set-point increases in relation to the exter-
nal air temperature, while with negative compensation the
set-point decreases in relation to the external air temperature.
Only winter set point can be compensated.
Unless specified otherwise in the order, standard programming
involves negative compensation as shown in the diagrams
below. All the settings can be modified directly by the control
system.
12 / 7°C
SET POINT 1
25°C
T1 T2
35°C
17 / 12°C
5°C
12 / 7°C
35 / 40°C
SET POINT 1
SET POINT 2
SET POINT 2
SET POINT 1
25°C
T1 T2
35°C
17 / 12°C
5°C
30 / 40°C
SET POINT 2
0°C
T1 T2
15°C
40 / 45°C
5°C
40 / 45°C
SET POINT 2
SET POINT 1
0°C
T1 T2
15°C
5°C