EasyManua.ls Logo

Whirlpool ACM184XE1 - Garantia

Whirlpool ACM184XE1
42 pages
Print Icon
To Next Page IconTo Next Page
To Next Page IconTo Next Page
To Previous Page IconTo Previous Page
To Previous Page IconTo Previous Page
Loading...
q
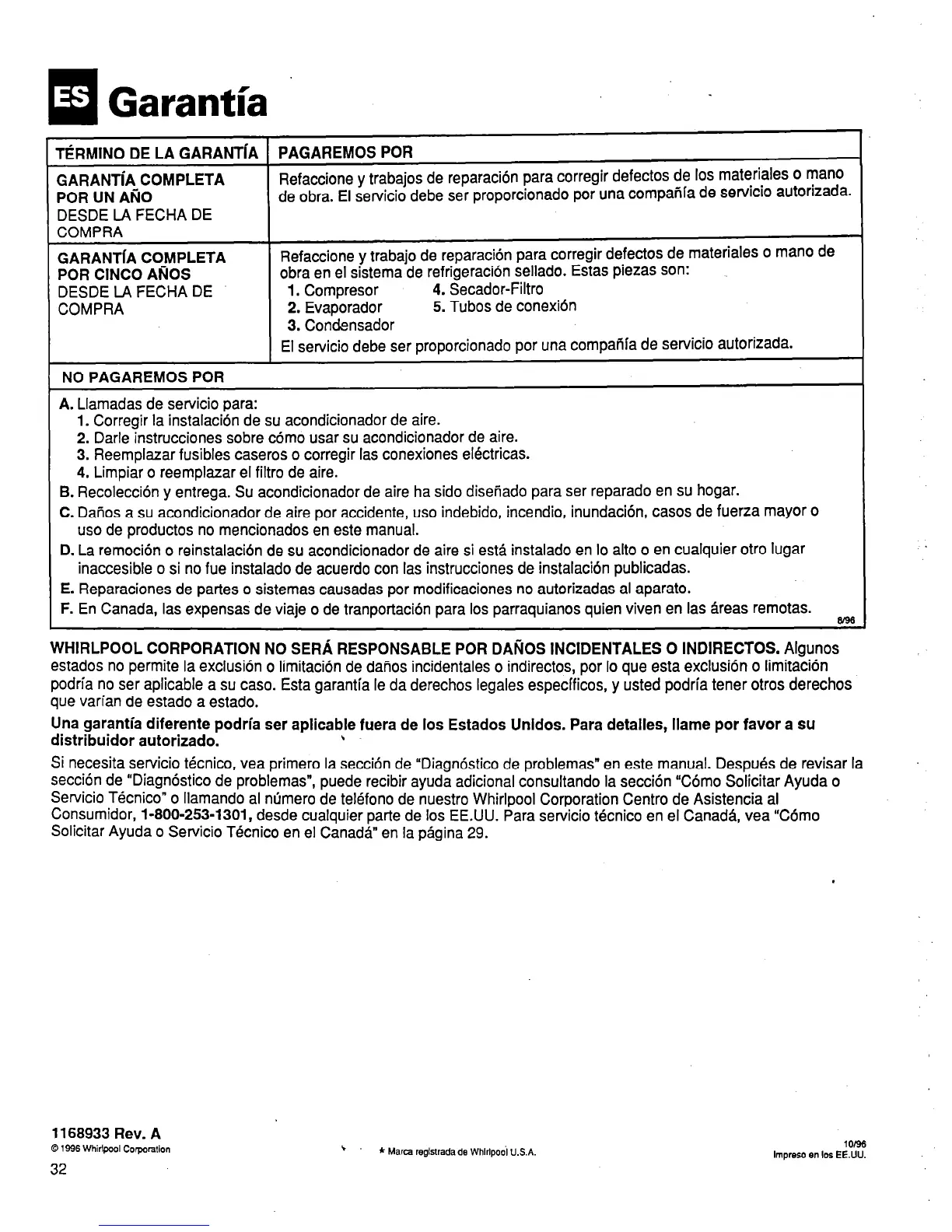
Garantia
TERMIN DE LA GARANTiA
PAGAREMOS POR
GARANTiA COMPLETA
Refaccione y trabajos de reparation para corregir defectos de 10s materiales 0 man0
POR UN Ati0
de obra. El servicio debe ser proporcionado por una compaiila de servicio autorizada.
DESDE LA FECHA DE
COMPRA
GARANTiA COMPLETA
POR CINCO AflOS
DESDE LA FECHA DE
COMPRA
Refaccione y trabajo de reparation para corregir defectos de materiales
o
mano de
obra en el sistema de refrigeration sellado. Estas piezas son:
I. Compresor
4. Secador-Filtro
2. Evaporador
5. Tubos de conexion
3. Condensador
El servicio debe ser proporcionado por una compafifa de servicio autorizada.
NO PAGAREMOS POR
A. Llamadas de servicio para:
1. Corregir la instalacion de su acondicionador de aire.
2.
Darle instrucciones sobre coma usar su acondicionador de aire.
3. Reemplazar fusibles caseros o corregir las conexiones electricas.
4. Limpiar o reemplazar el filtro de aire.
B. Recoleccion y entrega. Su acondicionador de aire ha sido disetiado para ser reparado en su hogar.
C. Danos a su acondicionador de aire por accidente, uso indebido, incendio, inundation, cases de fuerza mayor 0
uso de productos no mencionados en este manual.
D. La remocibn o reinstalacion de su acondicionador de aire si esta instalado en lo alto o en cualquier otr0 tugar
inaccesible o si no fue instalado de acuerdo con las instrucciones de instalacion publicadas.
E. Reparaciones de partes o sistemas causadas por modificaciones no autorizadas al aparato.
F. En Canada, las expensas de viaje o de tranportacidn para 10s parraquianos quien viven en las areas remotas.
PJQf
WHIRLPOOL CORPORATION No SERA RESPONSABLE POR DAflOS INCIDENTALES 0 INDIRECTOS. Algunos
estados no permite la exclusion o limitation de danos incidentales o indirectos, por lo que esta exclusion 0 limitation
podria no ser aplicable a su case. Esta garantia le da derechos legales especfficos, y usted podria tener otros derechos
que varian de estado a estado.
Una garantia diferente podria ser aplicable fuera de 10s Estados Unldos. Para detalles, llame por favor a
su
distribuidor autorizado.
\
Si necesita servicio tecnico, vea primer0 la section de “Diagnostico de problemas” en este manual. Despues de revisar la
section de “Diagnostico de problemas”, puede recibir ayuda adicional consultando la section “Coma Solicitar Ayuda o
Servicio Tecnico” o llamando al ntimero de telefono de nuestro Whirlpool Corporation Centro de Asistencia al
Consumidor, l-800-253-1301, desde cualquier parte de 10s EEUU. Para servicio tecnico en el Canada, vea “Coma
Solicitar Ayuda o Servicio Tecnico en el Canada” en la pagina 29.
1168933 Rev. A
0 1996 Whirlpool Corporation
32
t
* Marca reglnrada de Whlrlpo&l U.S.A.
lOl96
Impreso en Ios EEUU.

Table of Contents

Related product manuals