EasyManua.ls Logo

Wilson Electronics AG Pro 75 - Page 9

Wilson Electronics AG Pro 75
20 pages
Print Icon
To Next Page IconTo Next Page
To Next Page IconTo Next Page
To Previous Page IconTo Previous Page
To Previous Page IconTo Previous Page
Loading...
7
8
Contact Wilson Electronics Technical Support Team with any questions at 866-294-1660
or email: tech@wilsonelectronics.com. Hours: 7 am to 6 pm MST.
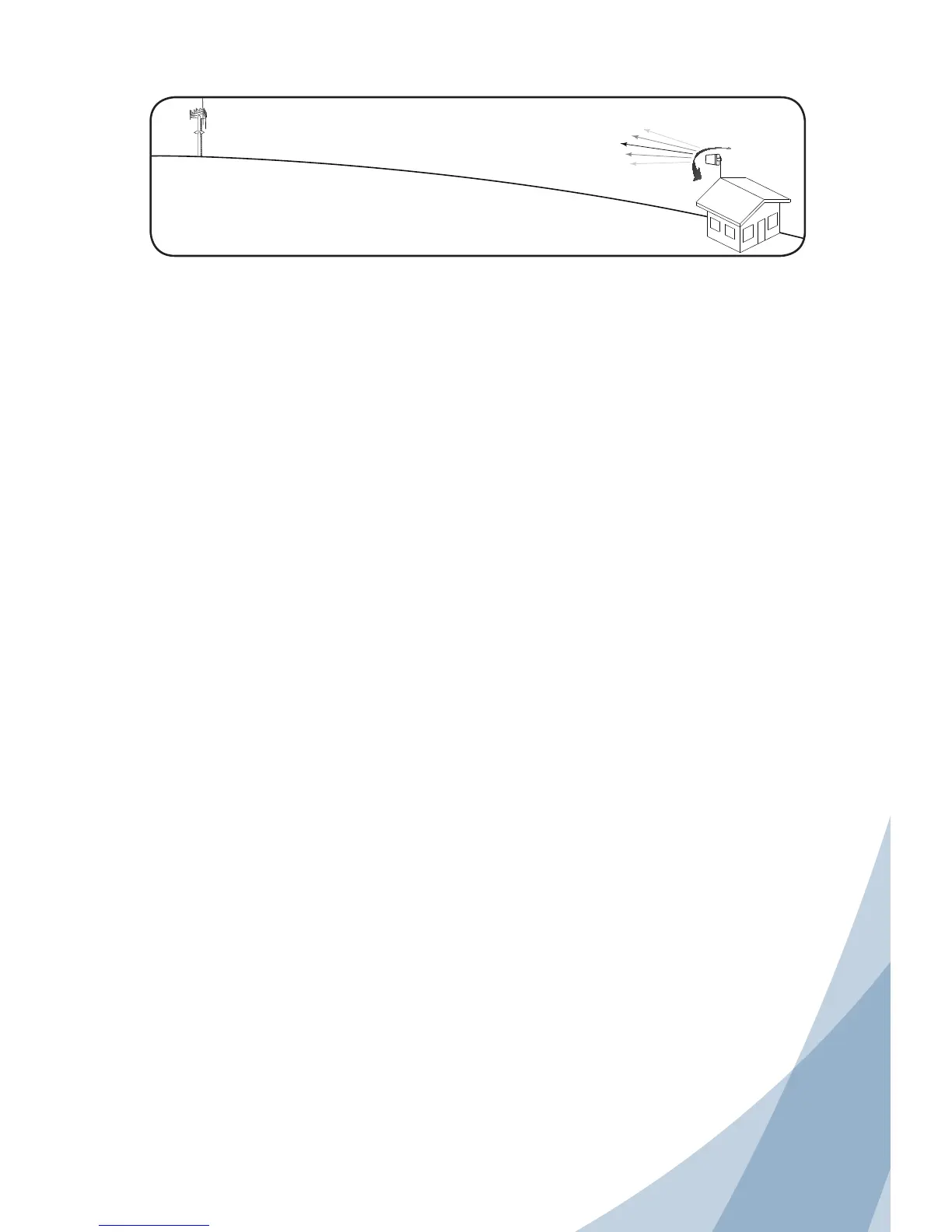
Mounting Tips for Running Outside
Antenna Cable
If you are mounting the outside antenna on the roof of your building,
we have found that it is easiest to run your cable underneath the
down side of your roofs flashing. If you have satellite TV service
installed at your home or office, you may be able to follow the same
route as the satellite TV cables that are already running from outside
of your building to the inside.
After routing the cable, we recommend sealing any areas where
the cable passes into the building with silicone or other waterproof
sealant to keep your installation from leaking. If you are mounting
the outside antenna to the outside wall of your home or building, the
simplest way is to run the cable on the outside of the wall and attach
it to the exterior of your home or office. Then drill a hole through the
wall where you want the cable to appear on the inside of the building.
Before drilling, make sure that there are no electrical outlets, sewer or
water pipes, or electrical wiring in the wall that you are about to drill
through as this could potentially harm you or damage the building.
After drilling the required hole, run the cable through and seal it with
cable bushings or a silicon-type sealant to enclose the hole that you
have created. In some instances, it may be possible to run the cable
up into the fascia of the attic overhang. In this circumstance, the cable
will be accessible in the attic for further routing.
Cell Tower
Cell Signal
Outside
Wide Band
Antenna