EasyManua.ls Logo

Zenith MC7031 - Feature Notes and Definitions

Zenith MC7031
62 pages
Print Icon
To Next Page IconTo Next Page
To Next Page IconTo Next Page
To Previous Page IconTo Previous Page
To Previous Page IconTo Previous Page
Loading...
PRODUCT
FEATURES
SEE NOTES
ON
PAGE
5
REFER
TO
PAGE
ONE
INDEX
FOR
MODELS
IN
THIS MANUAL
CABINET
CHASSIS
SPEAKERS
RECORD
CHANGER
OTHER FEATURES
MODEL
COLOR
STYLE
NOTE
A
MODEL
TYPE
PART
NUMBER
IMPED.
(In
Ohms)
QTY.
AND
SIZE
(In
Inches)
PART
NUMBER
NOTE
B
TAPE
PROVISION
NOTE
C
SPEAKER
PROVISION
NOTE
D
MISC.
NOTE
E
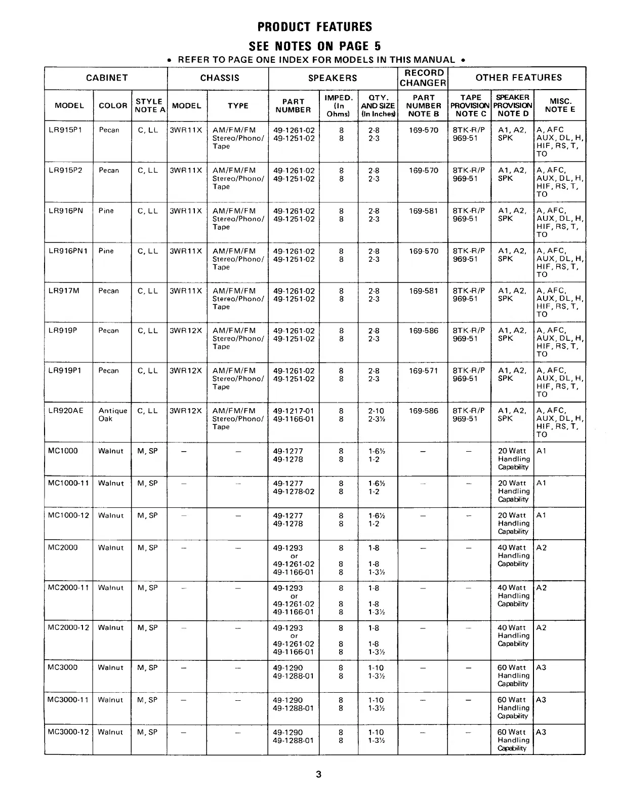
LR915P1 Pecan
C,
LL
3WR11X AM/FM/FM
Stereo/Phono/
Tape
49-1261-02
49-1251-02
8
8
2-8
2-3
169-570
8TK-R/P
969-51
A1,
A2,
SPK
A,
AFC
AUX,
DL, H,
HIF,
RS,T,
TO
LR915P2
Pecan
C,
LL
3WR11X AM/FM/FM
Stereo/Phono/
Tape
49-1261-02
49-1251-02
8
8
2-8
2-3
169-570
8TK-R/P
969-51
A1,
A2,
SPK
A,
AFC,
AUX,
DL, H,
HIF,
RS,T,
TO
LR916PN Pine
C,
LL
3WR11X AM/FM/FM
Stereo/Phono/
Tape
49-1261-02
49-1251-02
8
8
2-8
2-3
169-581
8TK-R/P
969-51
A1,
A2,
SPK
A,
AFC,
AUX,
DL, H,
HIF,
RS,
T,
TO
LR916PN1
Pine
C,
LL
3WR11X
AM/FM/FM
Stereo/Phono/
Tape
49-1261-02
49-1251-02
8
8
2-8
2-3
169-570
8TK-R/P
969-51
A1,
A2,
SPK
A,
AFC,
AUX,
DL, H,
HIF,
RS,T,
TO
LR917M Pecan
C,
LL
3WR11X AM/FM/FM
Stereo/Phono/
Tape
49-1261-02
49-1251-02
8
8
2-8
2-3
169-581
8TK-R/P
969-51
A1,
A2,
SPK
A,
AFC,
AUX,
DL, H,
HIF,
RS,T,
TO
LR919P
Pecan
C,
LL
3WR12X AM/FM/FM
Stereo/Phono/
Tape
49-1261-02
49-1251-02
8
8
2-8
2-3
169-586
8TK-R/P
969-51
A1,
A2,
SPK
A,
AFC,
AUX,
DL, H,
HIF,
RS,T,
TO
LR919P1 Pecan
C,
LL
3WR12X AM/FM/FM
Stereo/Phono/
Tape
49-1261-02
49-1251-02
8
8
2-8
2-3
169-571 8TK-R/P
969-51
A1,
A2,
SPK
A,
AFC,
AUX,
DL, H,
HIF,
RS,T,
TO
LR920AE
Antique
Oak
C,
LL
3WR12X
AM/FM/FM
Stereo/Phono/
Tape
49-1217-01
49-1166-01
8
8
2-10
2-3%
169-586
8TK-R/P
969-51
A1,
A2,
SPK
A,
AFC,
AUX,
DL, H,
HIF,
RS,T,
TO
MC1000 Walnut
M, SP
49-1277
49-1278
8
8
1-6
1
/
2
1-2
20
Watt
Handling
Capability
A1
MC1000-11
Walnut
M, SP
49-1277
49-1278-02
8
8
1
-6
1
/
2
1-2
20
Watt
Handling
Capability
A1
MC1000-12 Walnut
M, SP
49-1277
49-1278
8
8
1-6
1
/
2
1-2
20
Watt
Handling
Capability
A1
MC2000 Walnut
M,
SP
49-1293
or
49-1261-02
49-1166-01
8
8
8
1-8
1-8
1-3
1
/*
40
Watt
Handling
Capability
A2
MC2000-11 Walnut
M,
SP
49-1293
or
49-1261-02
49-1166-01
8
8
8
1-8
1-8
1-3
1
/
2
40
Watt
Handling
Capability
A2
MC2000-12 Walnut
M,
SP
49-1293
or
49-1261-02
49-1166-01
8
8
8
1-8
1-8
1
-3%
40
Watt
Handling
Capability
A2
MC3000 Walnut
M,
SP
49-1290
49-1288-01
8
8
1-10
1-3
1
/
2
60
Watt
Handling
Capability
A3
MC3000-11 Walnut
M,
SP
49-1290
49-1288-01
8
8
1-10
1
-3
1
/
2
60
Watt
Handling
Capability
A3
MC3000-12 Walnut
M,
SP
49-1290
49-1288-01
8
8
1-10
1
-3
1
/
2
60
Watt
Handling
Capability
A3
3

Related product manuals