EasyManua.ls Logo

ZERONE ZEUS-100/80 - 11.2 Blend (Load 300Ω); 11.3 Contact Coagulation (Load 300Ω)

ZERONE ZEUS-100/80
38 pages
Print Icon
To Next Page IconTo Next Page
To Next Page IconTo Next Page
To Previous Page IconTo Previous Page
To Previous Page IconTo Previous Page
Loading...
ZEUS-100/80 ZO-OM-008
REV : 08 30 ZERONE
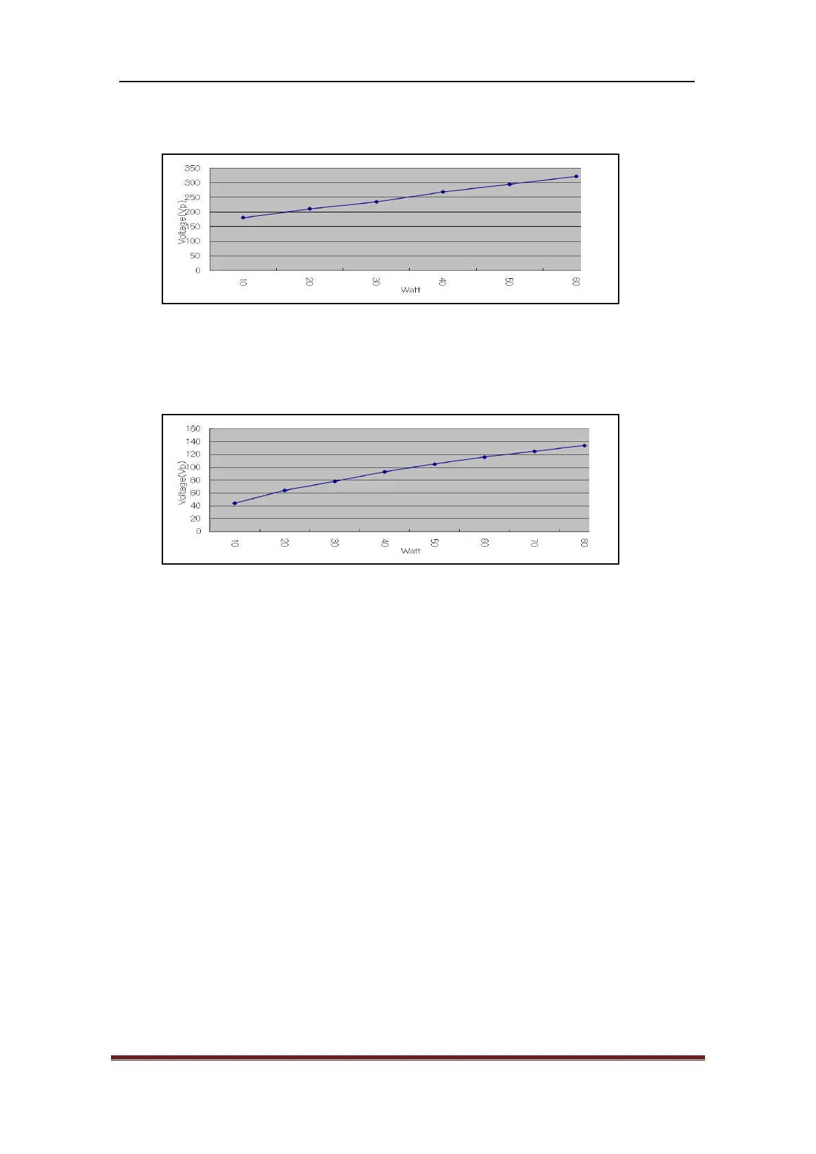
11.3 Contact Coagulation (Load 300) Max Peak Output Voltage : 320Vp
11.4 Bipolar Coagulation (Load 100) Max Peak Output Voltage : 135Vp

Related product manuals