EasyManua.ls Logo

Zipro Dunk Gold - Page 137

Zipro Dunk Gold
Print Icon
To Next Page IconTo Next Page
To Next Page IconTo Next Page
To Previous Page IconTo Previous Page
To Previous Page IconTo Previous Page
Loading...
137
IT
Asciugare il sudore dalla macchina dopo ogni allenamento. Assicurarsi che il monitor non entri in
contatto con acqua o umidità.
Usare solo acqua e sapone per pulire il dispositivo. Non usare detergenti.
Conservare il dispositivo in un luogo asciutto e caldo.
Non esporre il dispositivo alla luce diretta del sole.
ALLENAMENTO E LE FASI DI ESERCIZI
L'uso della macchina vi fornirà molti benefici. Prima di tutto, migliorerà la tua condizione, rafforzerà i tuoi
muscoli e, combinato con una dieta adeguata, ti permetterà di bruciare il grasso corporeo in eccesso.
1. RISCALDAMENTO
Questa fase migliora la circolazione del sangue in tutto il corpo e prepara i muscoli per un maggiore
esercizio. Riduce anche il rischio di sviluppare crampi e di lesioni. Si consiglia di fare alcuni esercizi di
stretching come indicato di seguito. Se senti dolore, smetto di esercitarti o riduci la gamma di movimento.
ESERCIZI DI STRETCHING:
ALLUNGARE I MUSCOLI INTERNI DELLA COSCIA
Siediti su una superficie piana con le gambe piegate e le ginocchia rivolte verso l’esterno. Avvicina le
piante dei piedi e portale il più vicino possibile. Premi delicatamente le ginocchia, puntandole
verso il suolo e mantieni questa posizione per 15 secondi
ALLUNGARE LE COSCE
Siediti su una superficie piana. Raddrizza la gamba destra e metti la pianta del piede sinistro sulla
coscia destra. Estendi la mano destra verso le dita della gamba destra il più possibile. Mantieni
questa posizione per 15 secondi. Ripeti con la gamba sinistra.
ROTAZIONI DEL CAPO
Tieni la testa dritta, guardando dritto davanti a te. Senza muovere le braccia, gira la testa a destra e
raddrizzala, e poi gira la testa a sinistra e raddrizzala.
SOLLEVAMENTI DELLE BRACCIA
Alza il braccio sinistro il più in alto possibile e tienilo cosi per alcuni secondi. Ripeti l’esercizio con il
braccio destro.
ALLUNGAMENTO DEL TENDINE D'ACHILLE
In piedi di fronte al muro, stendi la gamba sinistra in avanti e piegala leggermente al ginocchio. Tieni
la gamba destra dietro di te, dritta, con il tallone sul pavimento. Tieni entrambi i talloni sul
pavimento e premi i fianchi contro il muro. Mantieni questa posizione per 15 secondi. Ripeti
l’esercizio con la gamba destra estesa. Ricordati di non inarcare la schiena durante l’esercizio.
PIEGAMENTI IN AVANTI IN PIEDI
Stai con i piedi uniti. Fai un piegamento in avanti, cercando di avvicinare il più possibile il petto alle
ginocchia. Mantieni questa posizione per 15 secondi. Ricordati di non piegare le ginocchia
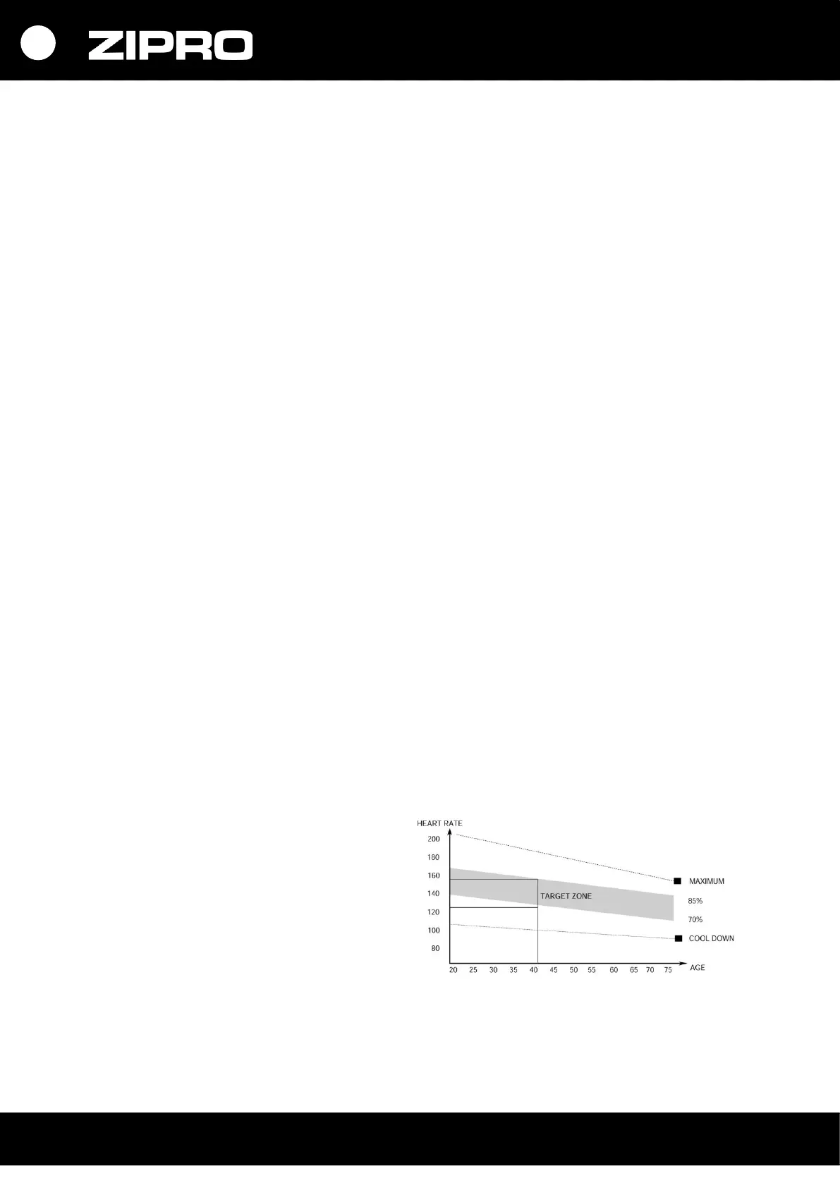
2. FASE DI ALLENAMENTO
Questa è la propria fase dell'allenamento.
Esercitati al proprio ritmo per raggiungere la
frequenza cardiaca appropriata per la tua età
come indicato nella tabella.
3. FASE DI RILASSAMENTO
Questa fase permette di calmare la circolazione e
a rilassare i muscoli. È una ripetizione dei esercizi
di riscaldamento. È importante ricordare di non
sforzare i muscoli.

Related product manuals