EasyManua.ls Logo

Zipro Dunk Gold - Page 48

Zipro Dunk Gold
Print Icon
To Next Page IconTo Next Page
To Next Page IconTo Next Page
To Previous Page IconTo Previous Page
To Previous Page IconTo Previous Page
Loading...
48
DE
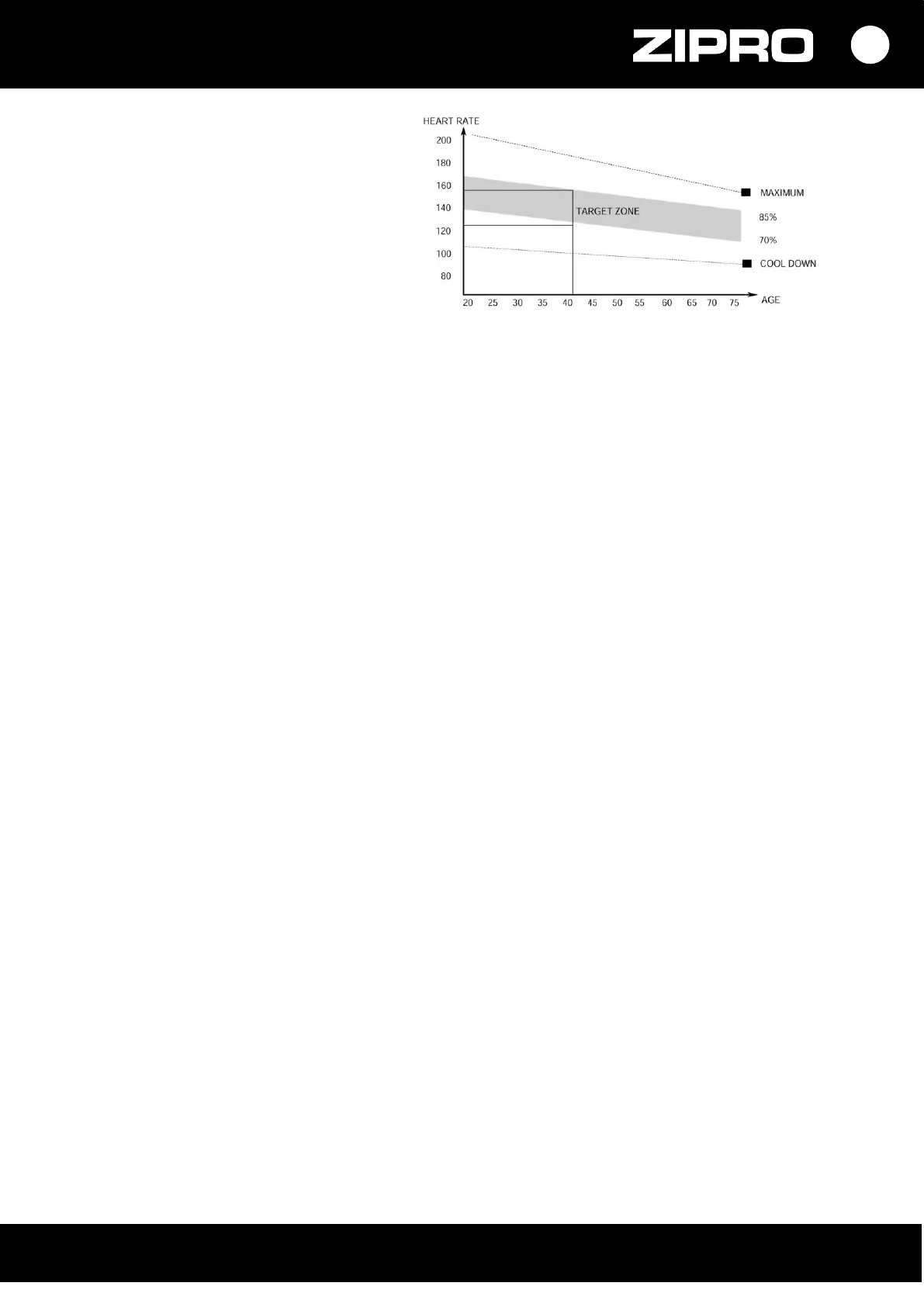
2. TRAININGSPHASE
Das ist die Phase des eigentlichen Trainings.
Trainieren Sie in Ihrem eigenen Tempo, um
einen angemessenen Puls für Ihr Alter zu
erreichen, der in der Tabelle unten gezeigt
wird.
3. ABKÜHLUNGSPHASE
Diese Phase ermöglicht, dass die
Blutzirkulation beruhigt wird und die
Muskeln sich entspannen. Es handelt sich
hierbei um eine Wiederholung der
Aufwärmübungen. Achten Sie darauf, Ihre
Muskeln nicht zu überstrapazieren.

Related product manuals