EasyManua.ls Logo

Abbott Perclose ProGlide 6F - Page 27

Abbott Perclose ProGlide 6F
108 pages
Print Icon
To Next Page IconTo Next Page
To Next Page IconTo Next Page
To Previous Page IconTo Previous Page
To Previous Page IconTo Previous Page
Loading...
27
LEIA TODA A INFORMAÇÃO FORNECIDA NESTAS INSTRUÇÕES DE UTILIZAÇÃO
PARA ASSEGURAR A COLOCAÇÃO E UTILIZAÇÃO APROPRIADAS DESTE
DISPOSITIVO E IMPEDIR A OCORRÊNCIA DE LESÕES NOS DOENTES.
1.0 ADVERTÊNCIA
Este dispositivo deve ser utilizado apenas por médicos (ou por profissionais
de saúde associados, autorizados ou sob a orientação do respetivo médico)
com formação na área dos procedimentos de cateterização diagnóstica e/
ou interventiva e cuja formação tenha sido prestada por um representante
autorizado da Abbott Vascular.
Os operadores devem rever as Instruções de Utilização antes da utilização
e familiarizarem-se com as técnicas de colocação associadas à utilização
deste dispositivo.
2.0 DESCRIÇÃO DO DISPOSITIVO
O Sistema de Encerramento por Sutura Perclose ProGlide (SMC) foi concebido
para a aplicação de sutura monofilamento única de polipropileno para
encerramento de locais de punção na artéria femoral, após procedimentos de
cateterização diagnóstica ou interventiva.
Este dispositivo SMC Perclose ProGlide é composto por um êmbolo, uma
pega, um guia e uma bainha. O Perclose ProGlide percorre um fio-guia
padrão de 0,038” (0,97 mm) (ou mais pequeno). O fluxo de sangue que
passa através da bainha é restringido por uma válvula hemostática, estando
ou não o fio-guia colocado. O guia aloja as agulhas e o pé e controla com
precisão o local em que estas agulhas são colocadas, na área circundante
ao local de punção. A pega é utilizada para estabilizar o dispositivo durante a
utilização. O êmbolo faz avançar as agulhas e é utilizado para extrair a sutura.
O guia contém um lúmen marcador, em que a porta intraluminal do lúmen se
encontra posicionada na extremidade distal do guia. Proximalmente, o lúmen
marcador sai do corpo do dispositivo. O lúmen marcador cria uma via para
refluxo da hemorragia (obtenção de marca) a partir da artéria femoral, de
modo a garantir o posicionamento correto do dispositivo.
Está incluindo o acessório empurrador de nó (Corta-suturas Perclose),
concebido para posicionar o nó da sutura na parte superior da arteriotomia.
O Corta-suturas Perclose foi igualmente concebido para cortar os segmentos
soltos da sutura.
O Sistema SMC Perclose ProGlide 6F foi concebido para ser utilizado nos
locais de acesso entre a 5 F e 21 F. O Sistema SMC Perclose ProGlide
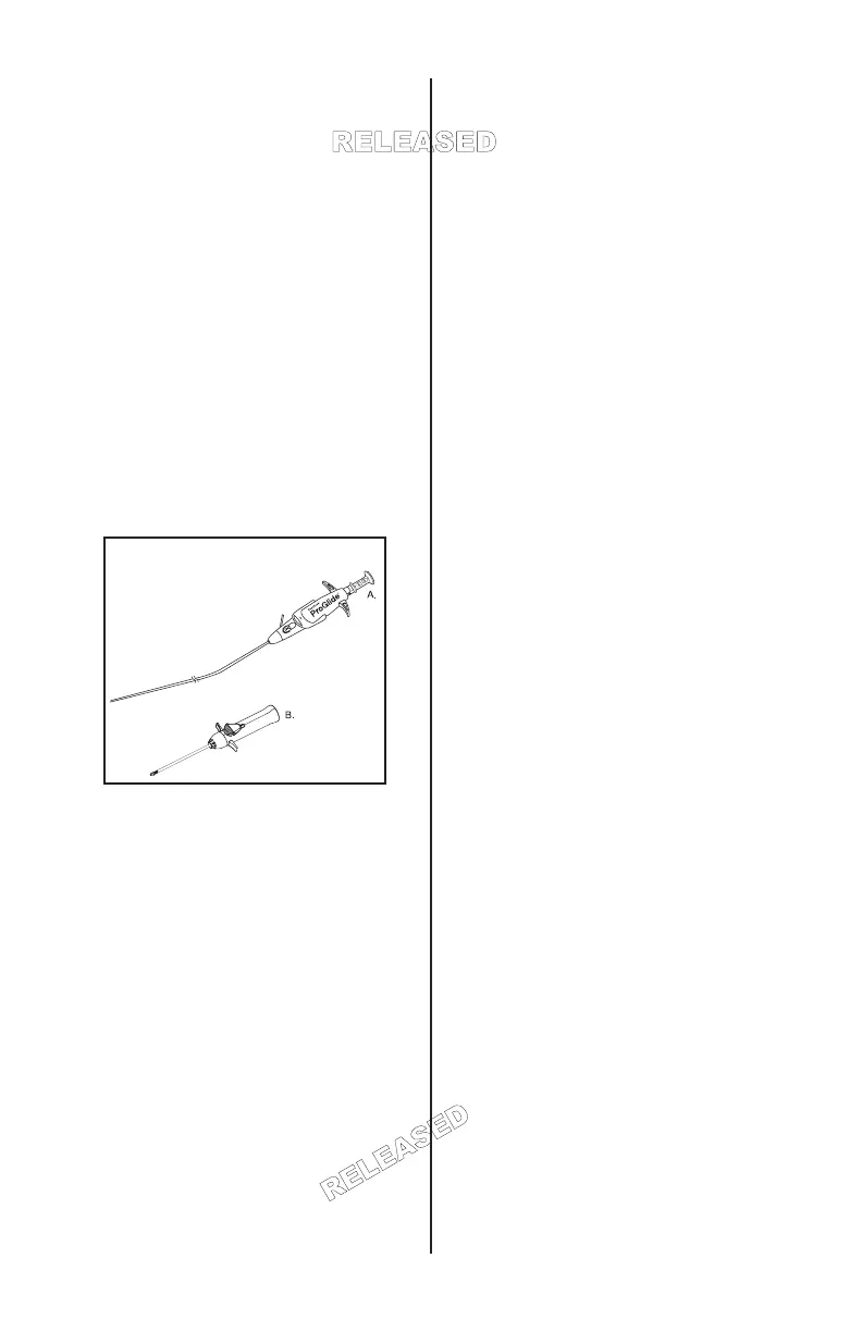
encontra-se ilustrado na Figura 1.
Figura 1: Sistema de Encerramento por Sutura Perclose ProGlide
3.0 APRESENTAÇÃO
O dispositivo SMC Perclose ProGlide e respetivos acessórios são fornecidos
estéreis e apirogénicos numa embalagem fechada e intacta. Os produtos são
esterilizados com óxido de etileno e destinam-se apenas a uma única utilização.
Este dispositivo para uma única utilização não pode ser reutilizado noutro
doente, uma vez que não foi concebido para desempenhar a função a que se
destina após a primeira utilização. As alterações às características mecânicas,
físicas e/ou químicas introduzidas sob condições de utilização, limpeza e/ou
reesterilização repetidas, poderão comprometer a integridade da conceção e/
ou dos materiais, conduzindo a contaminação devido a folgas e/ou espaços
estreitos e a uma diminuição da segurança e/ou do desempenho do dispositivo.
A ausência do rótulo original pode originar uma utilização indevida e eliminar a
rastreabilidade. A ausência da embalagem original pode conduzir a danos no
dispositivo, perda de esterilidade e risco de lesões no doente e/ou no utilizador.
Não reesterilizar. Guardar em local fresco e seco.
O Sistema SMC Perclose ProGlide 6F inclui:
Um (1) dispositivo SMC Perclose ProGlide 6F
Um (1) Corta-suturas Perclose
4.0 INDICAÇÕES
O Sistema SMC Perclose ProGlide está indicado para a aplicação percutânea
de suturas para o encerramento de locais de acesso comuns à artéria femoral
em doentes que tenham sido submetidos a procedimentos de cateterização
diagnóstica ou interventiva, utilizando bainhas 5 F a 21 F. Para bainhas com
tamanho superior a 8 F, é necessário utilizar pelo menos dois dispositivos
e a técnica de pré-sutura.
5.0 CONTRAINDICAÇÕES
Não são conhecidas quaisquer contraindicações relativas à utilização deste
dispositivo. Deve prestar-se especial atenção às secções 6.0 AVISOS
e 7.0 PRECAUÇÕES
6.0 AVISOS
Não utilize o dispositivo SMC Perclose ProGlide ou os respetivos acessórios
se a embalagem ou barreira estéril tiverem sido previamente abertas ou
danificadas, ou se os componentes parecerem estar danificados ou defeituosos.
NÃO REESTERILIZAR OU REUTILIZAR. O dispositivo SMC Perclose ProGlide e
respetivos acessórios destinam-se apenas a uma única utilização.
Não utilize o Sistema SMC Perclose ProGlide se o campo estéril estiver danificado,
pois poderá ter ocorrido contaminação bacteriana da bainha ou dos tecidos
envolventes, já que um campo estéril danificado pode resultar em infeção.
Não utilize o Sistema SMC Perclose ProGlide se o local de punção estiver
situado acima do bordo mais inferior da artéria epigástrica inferior (AEI) e/ou
acima do ligamento inguinal com base nos pontos de referência ósseos. Tais
locais de punção podem originar um hematoma retroperitoneal. Efetue um
angiograma femoral para determinar a localização do local de punção. NOTA:
Pode ser necessário efetuar um angiograma do plano Oblíquo Anterior Direito
(OAD) e Oblíquo Anterior Esquerdo (OAE), de modo a visualizar corretamente
o local em que a bainha entra na artéria femoral.
Não utilize o Sistema SMC Perclose ProGlide se a punção atravessar a parede
posterior ou se houver múltiplas punções. Tais punções podem originar um
hematoma ou uma hemorragia retroperitoneal.
Não utilize o Sistema SMC Perclose ProGlide se o local de punção estiver
situado na artéria femoral superficial, na artéria femoral profunda ou
na bifurcação destes vasos. Tais locais de punção podem originar um
pseudoaneurisma, dissecção da íntima ou o encerramento agudo de um vaso
(trombose do lúmen de artérias pequenas). Efetue um angiograma femoral
para determinar a localização do local de punção. NOTA: Pode ser necessário
efetuar um angiograma do plano Oblíquo Anterior Direito (OAD) e Oblíquo
Anterior Esquerdo (OAE), de modo a visualizar corretamente o local em que a
bainha entra na artéria femoral.
7.0 PRECAUÇÕES
• O Sistema SMC Perclose ProGlide e respetivos acessórios são fornecidos
estéreis e apirogénicos em embalagens fechadas e intactas.
• Antes de utilizar o Sistema SMC Perclose ProGlide, inspecione-o, de
modo a garantir que a embalagem estéril não foi danificada durante
o envio. Examine todos os componentes antes de os utilizar, para
verificar se estão a funcionar corretamente. Tenha cuidado durante
o manuseamento do dispositivo, para reduzir a possibilidade de o
dispositivo se partir acidentalmente.
• Tal como em todos os procedimentos em que são utilizados cateteres,
existe a possibilidade de ocorrência de infeções. Utilize e cumpra sempre
uma técnica estéril ao utilizar o Sistema SMC Perclose ProGlide. Após o
procedimento e a alta hospitalar siga sempre um tratamento apropriado
das virilhas (de acordo com o protocolo hospitalar) para prevenir a
ocorrência de infecções.
• Utilize uma técnica de punção de parede única. Não perfure a parede
posterior da artéria.
• Não insira o dispositivo SMC Perclose ProGlide na artéria femoral num
ângulo superior a 45 graus.
• É possível voltar a aceder ao mesmo local, desde que as anteriores
reparações através de arteriotomia tenham sido efetuadas com os
dispositivos SMC da Abbott Vascular.
• Se verificar um fluxo de sangue significativo em torno do dispositivo SMC
Perclose ProGlide, não coloque as agulhas. Remova o dispositivo SMC
Perclose ProGlide através de um fio-guia de 0,038” (0,97 mm) (ou mais
pequeno) e insira uma bainha introdutora de tamanho adequado.
• Ao empurrar o conjunto do êmbolo para fazer avançar as agulhas,
estabilize o dispositivo, para garantir que o dispositivo não se torce ou
avança durante a colocação. Torcer o dispositivo pode conduzir ao desvio
da agulha, podendo resultar na falha do tensiómetro. Não aplique força
excessiva ou empurre repetidamente o conjunto do êmbolo. A aplicação
de força excessiva sobre o êmbolo durante a colocação pode resultar na
quebra do dispositivo, podendo ser necessárias uma intervenção e/ou
remoção cirúrgica do dispositivo e reparação do vaso.
• Não aplique força excessiva sobre a alavanca ao tentar colocar o pé
na sua posição original (marcado com n.º 4) por baixo do corpo do
dispositivo. Não tente remover o dispositivo sem fechar a alavanca.
A aplicação de força excessiva sobre a alavanca do dispositivo ou a
tentativa de remover o dispositivo sem fechar a alavanca pode resultar
na quebra do dispositivo e/ou causar trauma do vaso, podendo ser
necessárias uma intervenção e/ou remoção cirúrgica do dispositivo e
reparação do vaso.
• Se sentir resistência, não faça avançar ou afaste o dispositivo
SMC Perclose ProGlide até que tenha sido determinada a causa da
resistência (consultar secção 10.3 COLOCAÇÃO DO DISPOSITIVO SMC).
Deve ser evitada a aplicação de força excessiva para fazer avançar ou
para apertar o dispositivo SMC Perclose ProGlide, pois pode causar
danos significativos no vaso e/ou quebra do dispositivo, podendo ser
necessárias uma intervenção e/ou remoção cirúrgica do dispositivo e
reparação do vaso.
• Se encontrar resistência excessiva ao fazer avançar o dispositivo SMC
Perclose ProGlide, afaste o dispositivo através de um fio-guia de 0,038”
(0,97 mm) (ou mais pequeno) e volte a inserir a bainha introdutora ou
recorra à compressão manual.
• Remova a bainha Perclose ProGlide antes de apertar a sutura. Caso a
bainha não seja removida antes de apertar a sutura, a ponta da bainha
pode desprender-se.
• Ao utilizar este ou outro material de sutura, devem tomadas precauções
para evitar danos provocados pelo manuseamento. Evite danos causados
pela compressão devido à aplicação de instrumentos cirúrgicos, tais
como grampos, pinças ou porta-agulhas.
• Para o encerramento de locais de arteriotomia em que foi utilizada
uma bainha processual de 5 F-8 F, utilize a compressão manual caso
a hemorragia persista no local de acesso femoral após a utilização do
dispositivo SMC Perclose ProGlide.
• Para o encerramento de locais de arteriotomia em que foi utilizada uma
bainha processual de 8,5 F-21 F, dependendo do tipo de procedimento
de cateterização interventiva, utilize métodos de compressão manual,
dispositivos auxiliares de compressão e/ou outros métodos de tratamento
adequados, caso a hemorragia persista no local de acesso femoral após
a utilização do dispositivo SMC Perclose ProGlide.
8.0 POPULAÇÕES ESPECIAIS DE DOENTES
A segurança e eficácia dos dispositivos SMC Perclose ProGlide não foram
determinadas para as seguintes populações especiais de doentes:
• Doentes com bainhas introdutoras <5 F ou >21 F durante o
procedimento de cateterização.
• Doentes com artérias femorais pequenas (<5 mm de diâmetro).
A. Dispositivo Perclose ProGlide
B. Corta-Suturas Perclose
RELEASED
RELEASED

Related product manuals