EasyManua.ls Logo

Accurion Halcyonics Vario Basic Series - Settling Time Performance; Dynamic Stiffness Characteristics

Default Icon
16 pages
Print Icon
To Next Page IconTo Next Page
To Next Page IconTo Next Page
To Previous Page IconTo Previous Page
To Previous Page IconTo Previous Page
Loading...
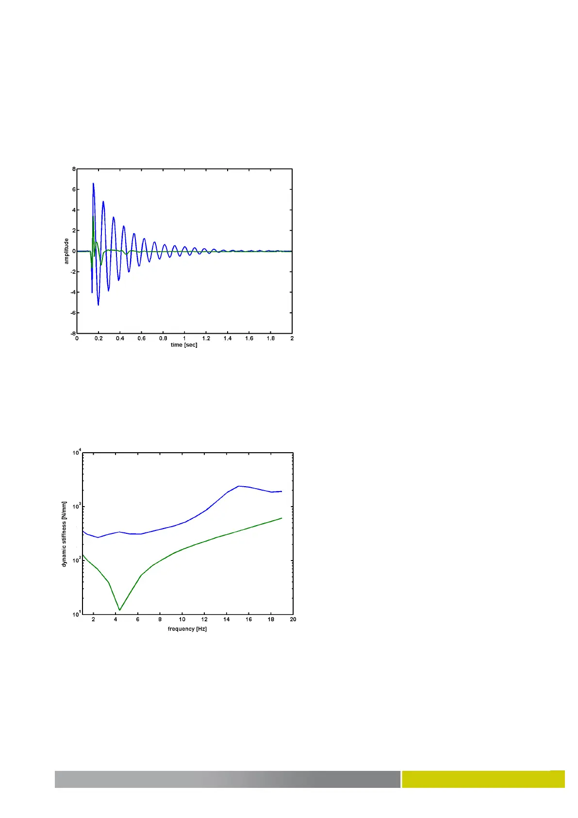
Settling Time Vario Basic System
Dynamic Stiffness Vario Basic System
Fig. 8: Settling time of a Halcyonics_ Vario Basic
40-100 System (green) compared to a
conventional airdamped vibration isolation
system (blue), made by one of the major
manufacturers of optical tables and vibration
isolated laboratory desks.
Fig. 9: Dynamic isolator stiffness (blue) of Accurion`s
Vario Basic systems compared to a commercially
available passive air-damped isolation system
(green). Due to their higher dynamic stiffness,
Accurion´s systems are less sensitive to direct
forces affecting the isolation system.
- 13 -

Related product manuals