EasyManua.ls Logo

Adcom GTP-740 - Setup Screens and Input Settings

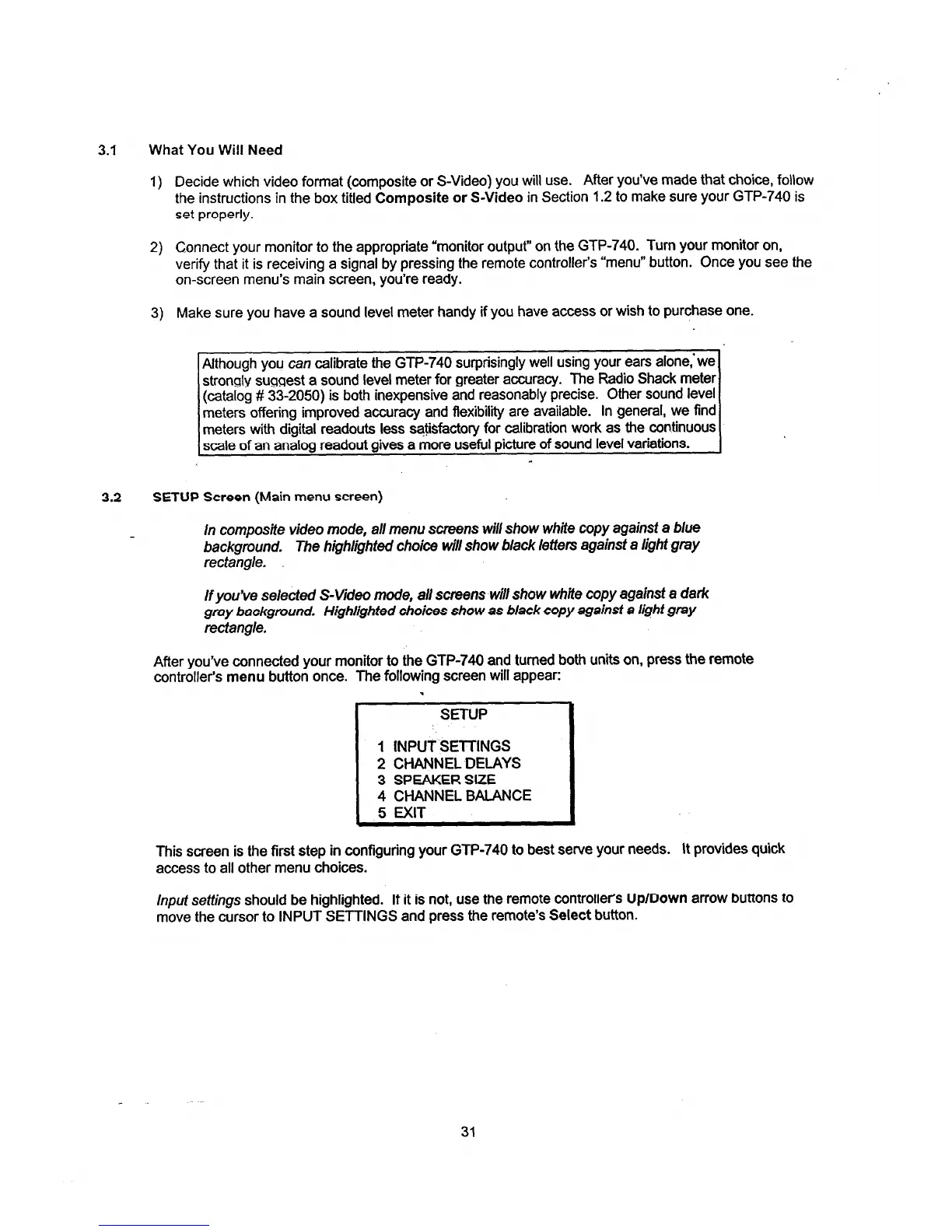
Adcom GTP-740
48 pages
Print Icon
To Next Page IconTo Next Page
To Next Page IconTo Next Page
To Previous Page IconTo Previous Page
To Previous Page IconTo Previous Page
Loading...

Other manuals for Adcom GTP-740

Related product manuals