EasyManua.ls Logo

AEG AG 1208 - Prevádzka Nabíjačky; Fázy Nabíjania

AEG AG 1208
Print Icon
To Next Page IconTo Next Page
To Next Page IconTo Next Page
To Previous Page IconTo Previous Page
To Previous Page IconTo Previous Page
Loading...
84
Prevádzka nabíjačky
Spustenie procesu nabíjania (olovo-kyselinové batérie)








Spustenie procesu nabíjania (GÉLOVÉ batérie)








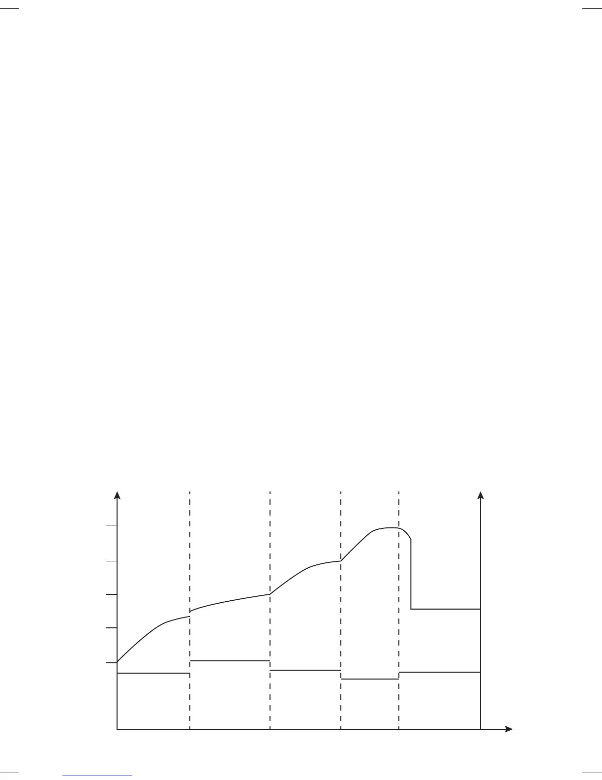
Fázy nabíjania
Napätie „V“
udržiavacie
nabíjanie
14.2
14.7
13.5
12
10.5
5.0 - 5.4A
3.4 - 4A
Automatická nabíjačka AG 1208
1.5 - 2.0A
1.2 - 1.4A
<1A
13.7(v)
14.2 - 14.7(v)
13.5- 14.2(v)
13.0- 13.5(v)
10.5- 12.5(v)
Čas „t“
Nabíjací prúd „A“

Table of Contents