EasyManua.ls Logo

AEG EPB435020M - Hints and Tips

AEG EPB435020M
104 pages
Print Icon
To Next Page IconTo Next Page
To Next Page IconTo Next Page
To Previous Page IconTo Previous Page
To Previous Page IconTo Previous Page
Loading...
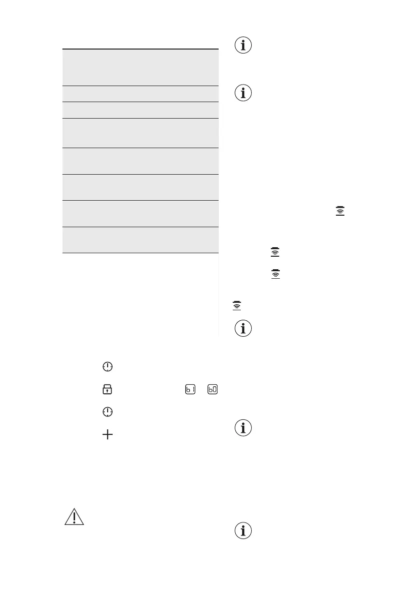
Automatic modes
Auto-
matic
light
Boiling
1)
Frying
2)
Mode H0 Off Off Off
Mode H1 On Off Off
Mode
H2
3)
On Fan
speed 1
Fan
speed 1
Mode H3 On Off Fan
speed 1
Mode H4 On Fan
speed 1
Fan
speed 1
Mode H5 On Fan
speed 1
Fan
speed 2
Mode H6 On Fan
speed 2
Fan
speed 3
1)
The hob detects the boiling process and acti-
vates fan speed in accordance with automatic
mode.
2)
The hob detects the frying process and acti-
vates fan speed in accordance with automatic
mode.
3)
This mode activates the fan and the light and
does not rely on the temperature.
Changing the automatic mode
1. Deactivate the appliance.
2. Touch
for 3 seconds until you
hear a beep.
3. Touch for 3 seconds until or
comes on.
4. Touch until H and a digit (0 - 6)
comes on. H5 is the default setting.
5. Touch
of the Timer to select the
desired mode (H0 - H6). The chosen
mode activates automatically after 10
seconds.
To operate the hood directly
on the hood panel
deactivate the automatic
mode of the function.
When you finish cooking and
deactivate the hob, the
hood fan may still operate
for a certain period of time.
After that time the system
deactivates the fan
automatically and prevents
you from accidental
activation of the fan for the
next 30 seconds.
Operating the fan speed manually
You can also operate the function
manually. To do that touch when the
hob is active. This deactivates automatic
operation of the function and allows you
to change the fan speed manually. When
you press
you raise the fan speed by
one. When you reach an intensive level
and press again you will set fan speed
to 0 which deactivates the hood fan. To
start the fan again with fan speed 1 touch
.
To activate automatic
operation of the function,
deactivate the hob and
activate it again.
Activating the light
You can set the hob to activate the light
automatically whenever you activate the
hob. To do so set the automatic mode to
H1 – H6.
The light on the hood
deactivates 2 minutes after
deactivating the hob.
5. HINTS AND TIPS
WARNING!
Refer to Safety chapters.
5.1 Cookware
For induction cooking zones
a strong electro-magnetic
field creates the heat in the
cookware very quickly.
www.aeg.com12

Related product manuals