EasyManua.ls Logo

AERMEC NBW Series - Operating Limits; Operating Limits Diagram; Operating Parameter Definitions

AERMEC NBW Series
60 pages
Print Icon
To Next Page IconTo Next Page
To Next Page IconTo Next Page
To Previous Page IconTo Previous Page
To Previous Page IconTo Previous Page
Loading...
23
CARATTERISTICHE
FEATURES
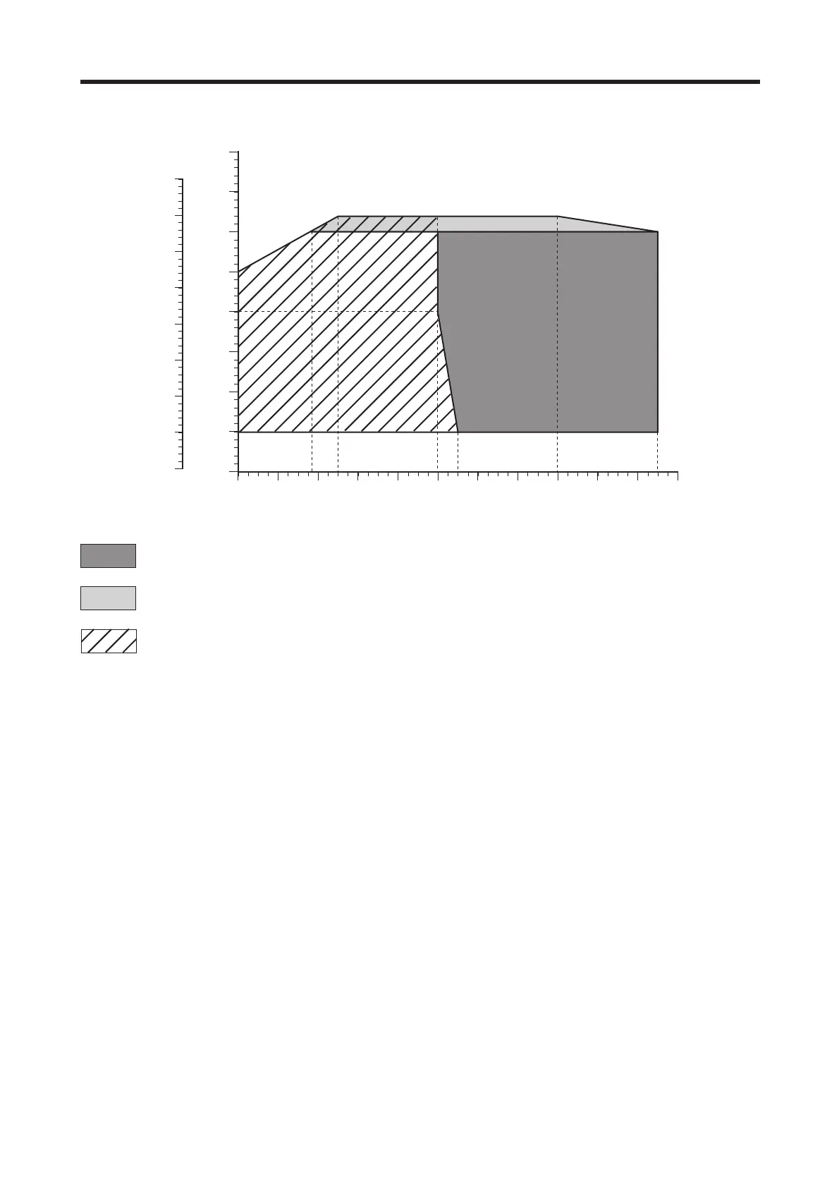
LIMITI DI FUNZIONAMENTO • OPERATING LIMITS
20
25
30
35
40
45
50
55
60
Twe °C
25
30
35
40
45
50
55
60
65
Tc
Twc
-6 -4 -2 0 2 4 6 8 10 12 14 16
Differenza ingresso (
tc) uscita scambiatore (con funzione
di condensatore):
min: 5
max: 15
Differenza ingresso (
te) uscita scambiatore (con funzione
di evaporatore):
min: 3
max: 10
Tc temperatura di condensazione (NBW E)
Twc temperatura uscita scambiatore (con funzione di con-
densatore)
Twe temperatura uscita scambiatore (con funzione di eva-
poratore)
Il diagramma dei limiti di funzionamento è relativo ad un t
sullevaporatore e sul condensatore (per le unità provviste di
condensatore) di 5 °C.
The operating limits diagram refers to an
t of 5 °C on the
evaporator and the condenser (applies to units fitted with
condenser).
Heat exchanger inlet/outlet difference (
tc) (with condenser
function):
min: 5
max: 15
Heat exchanger inlet/outlet difference (
te) (with evapora-
tor function):
min: 3
max: 10
Tc condensation temperature (NBW E)
Twc heat exchanger output temperature (with condenser
function)
Twe heat exchanger output temperature (with evaporator
function)
=
Funzionamento standard
Standard operation
=
Funzionamento solo per versioni R22
Operation for R22 versions only
=
Funzionamento con acqua glicolata
Operation with glycole mix

Related product manuals