EasyManua.ls Logo

AERMEC NRA 1250 - Correction Factors for ∆T Other than Nominal; Fouling Factors; Heating and Input Capacities, Heat Pump Versions

AERMEC NRA 1250
86 pages
Print Icon
To Next Page IconTo Next Page
To Next Page IconTo Next Page
To Previous Page IconTo Previous Page
To Previous Page IconTo Previous Page
Loading...
17
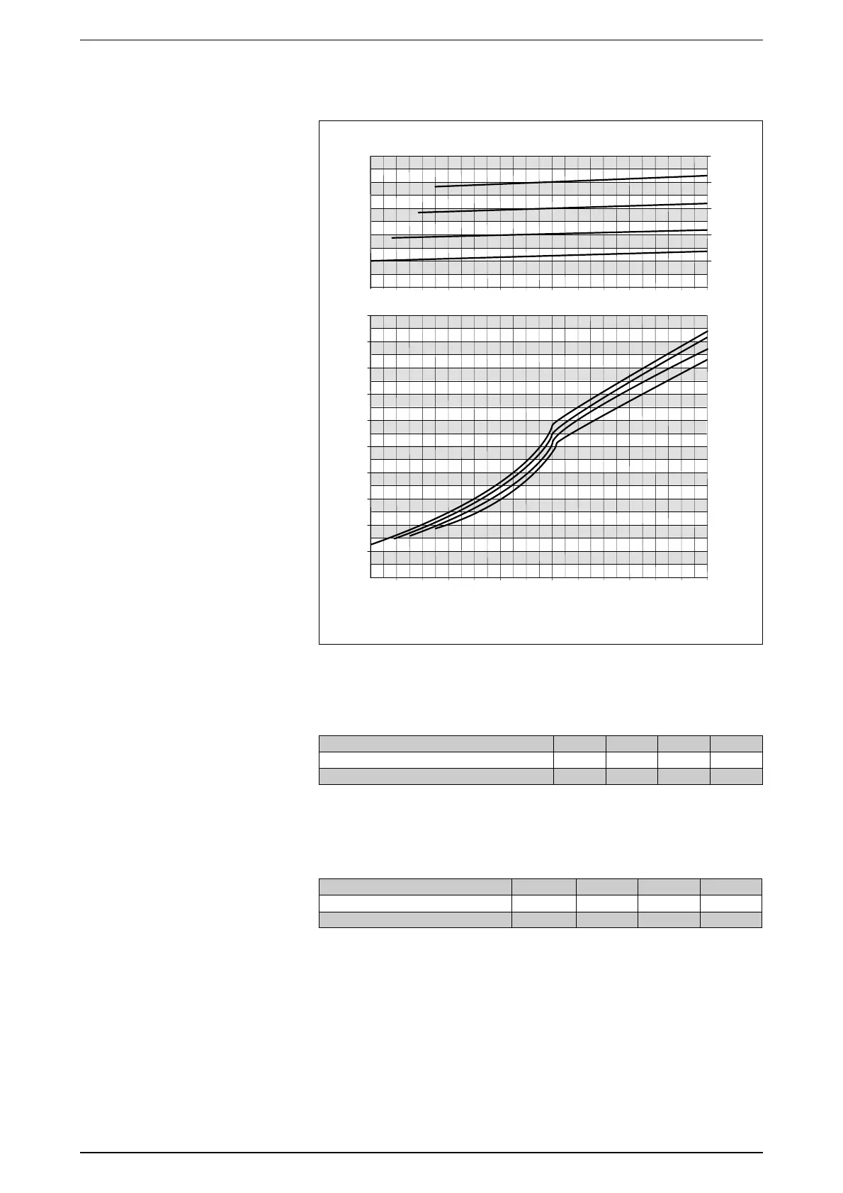
7.3 HEATING AND INPUT
CAPACITIES
- “HEAT PUMP VERSIONS”
The heating capacity yielded and the
electrical input power in conditions
other than rated conditions are
obtained by multiplying the rated values
(Pf, Pa) by the respective correction
coefficients (Cft, Cpa).
The following diagram makes it possible
to obtain the correction coefficients;
next to each curve, you can see the
temperature of the hot processed
water to which it refers, assuming
a difference of water temperature
between the inlet and outlet of the
condenser equal to 5°C.
The yields are intended as net of the
defrosting cycles.
KEY:
Ct = Heating capacity correction
coefficient
Ca = Input power correction
coefficient
7.4 FOR ∆T OTHER
THAN NOMINAL
For ∆t other than 5°C, the Tav.1 is
used on the evaporator to obtain the
correction factors of the cooling and
input capacities. To take into account
the dirtying of the exchangers, the
relative dirtying factors are used
7.5 FOULING FACTORS
The performance shown by the table
refers to conditions with clean tubes,
with a fouling factor = 1. For other
fouling factor values, multiply the data
of the performance tables by the
coefficients given.
Outside air temperature b.s. with 87% humidity
(Ct)
(Ca)
¤~
¤
~ ~ ~ ~
¤¤¤






~
~~
~
~
~
¤~
¤
~ ~ ~ ~
¤¤¤




~
~~




hgl]frYÛYkkgjZalY
hgl]frYÛl]jea[Y




7.4.1 Correction factors for t other than nominal, Chiller
35810
Cooling capacity correction factors 0,99 1 1,02 1,03
Cooling capacity correction factors 0,99 1 1,01 1,02
[K*m
2
]/[W]
0,00005 0,0001 0,0002
Cooling capacity correction factors
1 0.98 0.94
Cooling capacity correction factors
1 0,98 0,95
7.5.1 Fouling factors
Processed water temperature

Related product manuals