EasyManua.ls Logo

AERMEC NRA 1250 - Page 26

AERMEC NRA 1250
86 pages
Print Icon
To Next Page IconTo Next Page
To Next Page IconTo Next Page
To Previous Page IconTo Previous Page
To Previous Page IconTo Previous Page
Loading...
24
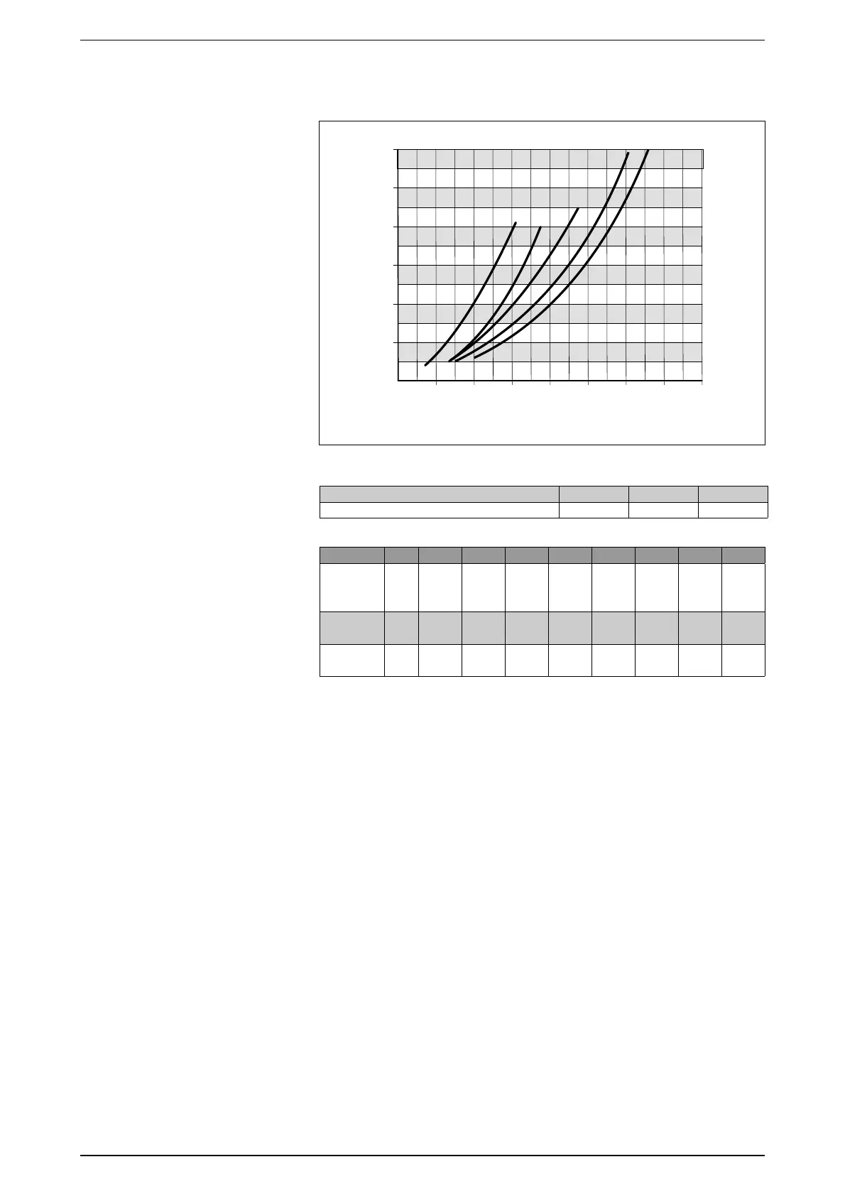
12.3 PRESSURE DROPS
All NRA models with desuperheater
are equipped with two (desuperhea-
ters in parallel).
NOTE
The parallel water connections is to be
made by the installer
Desuperheaters specifications and
pressure drop curves are given below.
For temperatures of produced water
other than 50 °C, multiply the result by
the correction factor that can be deter-
mined from the table at the bottom of
the page. 12.2.4.
The heating capacity available to the
total heat recovery is in rated condi-
tions:
Air temperature 35 °C
Water produced 50 °C
∆t 5 °C
Average water temperature °C
30 40 50
Multiplicative coefficient 1.0 4 1.0 2 1
~~




~



~
~
~
~
~
~
h]j\al]Û\aÛ[Yja[gÛ\]kmjjak[Yd\Ylgj]
Water flow rate m3/h
12.2.4
Values different from the nominal value
Taglie 0800 0900 1000 1250 1400 1500 1650 1800
Heating
capacity
available
kW
55 61 66 82 91 101 110 119
Water flow
rate
m
3
/h
9.46 10.43 11.36 14.02 15.72 17.34 18.92 20.46
Water pres-
sure drops
kPa
16 19.5 14 .5 16.5 16 19 2 2 2 2
kPa

Related product manuals