EasyManua.ls Logo

AERMEC NRA 1250 - Page 68

AERMEC NRA 1250
86 pages
Print Icon
To Next Page IconTo Next Page
To Next Page IconTo Next Page
To Previous Page IconTo Previous Page
To Previous Page IconTo Previous Page
Loading...
66
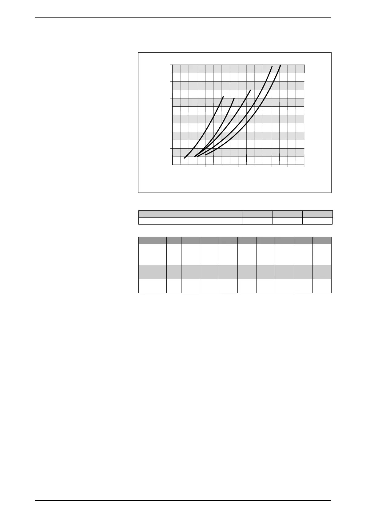
12.3 PÉRDIDAS DE CARGA
Los modelos NRA con desrecalenta-
dores tienen, en toda su dimensión, 2
desrecalentadores situados en para-
lelo
NOTE
El paralelo hidráulico está al cuidado
del instalador.
Las características de los desrecalen-
tadores y las curvas de las pérdidas de
carga están indicadas a continuación.
Para los valores de temperatura del
agua producida a una graduación
distinta de 50 °C, hay que multiplicar
el resultado obtenido por el factor de
corrección, el cual se puede encontrar
en la tabla al final de la página. 12.2.4.
La capacidad de calentamiento dispo-
nible para la recuperación total hace
referencia a las condiciones nomina-
les:
Temperatura del aire 35 °C
Agua producida 45 °C
∆t 5 °C
Temperatura del agua °C
30 40 50
Factor de corrección 1.04 1.02 1
~~




~



~
~
~
~
~
~
h]j\al]Û\aÛ[Yja[gÛ\]kmjjak[Yd\Ylgj]
Caudal agua m
3
/h
12.2.4
Modelo 0800 0900 1000 1250 1400 1500 1650 1800
Potencia
térmica
disponible
kW
55 61 66 82 91 101 110 119
Caudal
agua
m
3
/h
9.46 10.43 11.36 14.02 15.72 17.34 18.92 20.46
Perdida de
agua
kPa
16 19.5 14 .5 16.5 16 19 2 2 2 2
kPa