EasyManua.ls Logo

Aim-TTI CPX400DP - Page 13

Default Icon
34 pages
Print Icon
To Next Page IconTo Next Page
To Next Page IconTo Next Page
To Previous Page IconTo Previous Page
To Previous Page IconTo Previous Page
Loading...
12
The CUSTOM LIMITS capability allows the maximum values of both the VOLTAGE and CURRENT
controls to be redefined by the user such that the controls operate over specific, lower, ranges.
This not only has the advantage of protecting against the accidental application of, for example,
excess voltages to the load, but also provides higher resolution analogue control over the specified
ranges using the full 300º rotation of the controls.
To set new CUSTOM LIMITS turn the output off and select the 60V/20A range; preset limits are
shown in the display. Use the
MAIN and FINE VOLTAGE controls and the CURRENT control to set,
precisely, the new custom limits required. Press and hold the CUSTOM LIMITS key; the displays
flash the new limits for ~2s, after which the lower (A) display shows
SEt to indicate that the new
limits have been stored. Release the key; the displays now show the preset V and I limits
corresponding to the knob settings within the newly defined ranges.
If the new limits fall outside the power envelope (see Power Limit paragraph below), such that
operation could change from CV or CC (Constant Current) to UNREGulated (power limit) under
certain load conditions, the CUSTOM LIMITS lamp will flash during the setting process to indicate
this and will continue to do so until the range key is released. If the lamp is constantly on during
setting this indicates that V
MAX
x I
MAX
<420W and that operation should therefore generally stay in
CV or CC mode. CUSTOM LIMITS remains selected until another range key is pressed.
Reselecting CUSTOM LIMITS with a short key press recalls the same custom limits as last set.
When CUSTOM LIMITS is selected, the limit of the MAIN VOLTAGE control is exactly as set by the
above procedure when the
FINE control is set at its mid-point, marked on the panel with a
. The
FINE control itself can be usefully used to give an additional fine adjustment of ±1% (of the range
maximum).
Constant Voltage
The output voltage is adjusted using the MAIN and FINE VOLTAGE controls; the CURRENT control
sets the maximum current that can be supplied.
The CV lamp lights to show constant voltage mode.
Constant Current
If the load resistance is low enough such that, at the output voltage set, a current greater than the
current limit setting would flow, the power supply will automatically move into constant current
operation. The current output is adjusted by the CURRENT control and the VOLTAGE controls set
the maximum voltage that can be generated.
The CC lamp lights to show constant current mode.
Instantaneous Current Output
The current limit control can be set to limit the continuous output current to levels down to 10mA.
However, in common with all precision bench power supplies, a capacitor is connected across the
output to maintain stability and good transient response. This capacitor charges to the output
voltage and short-circuiting of the output will produce a current pulse as the capacitor discharges
which is independent of the current limit setting.
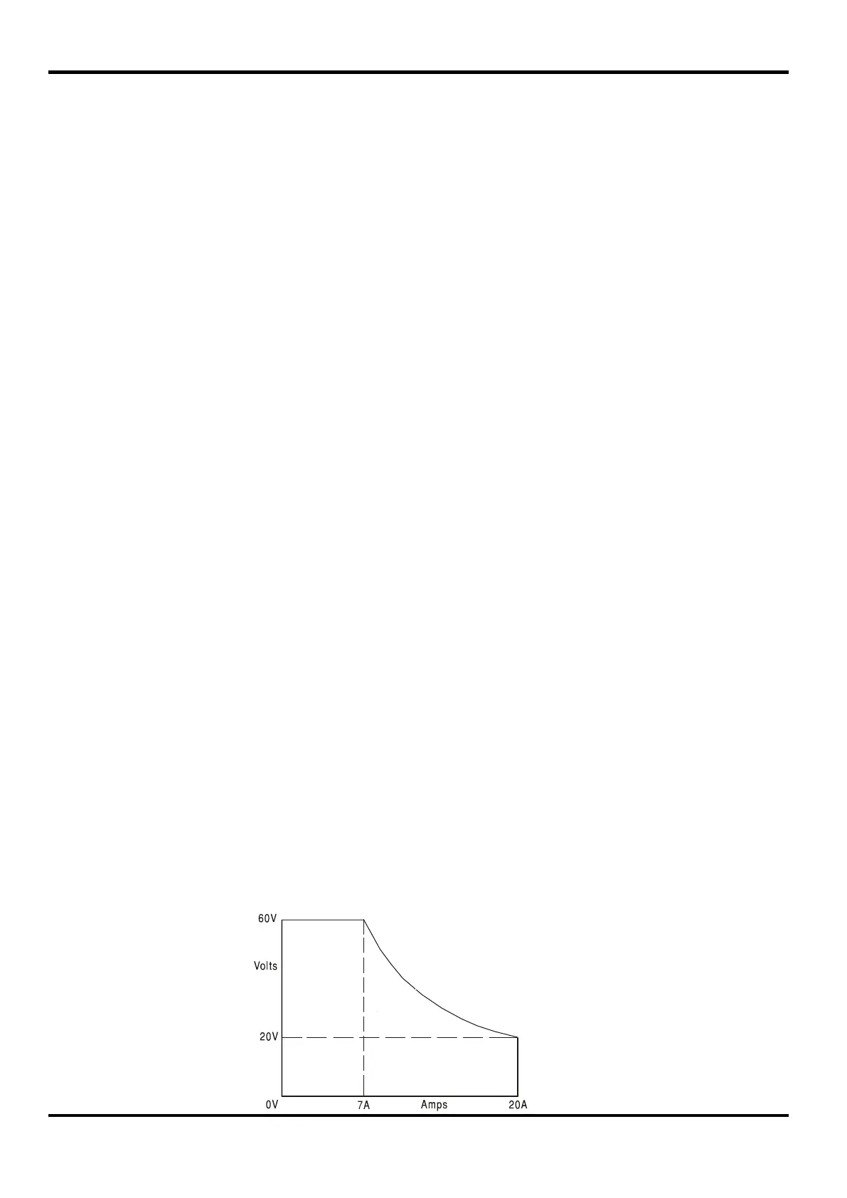
Power Limit
The maximum current at different voltage settings is limited by the power envelope illustrated
below:
CPX 400D & DP
Power Envelope

Related product manuals