EasyManua.ls Logo

Alesis 4 - Delay Effect Types and Features

Alesis 4
69 pages
Print Icon
To Next Page IconTo Next Page
To Next Page IconTo Next Page
To Previous Page IconTo Previous Page
To Previous Page IconTo Previous Page
Loading...
Chapter 3 – Overview of Effects
32 MidiVerb 4 Reference Manual
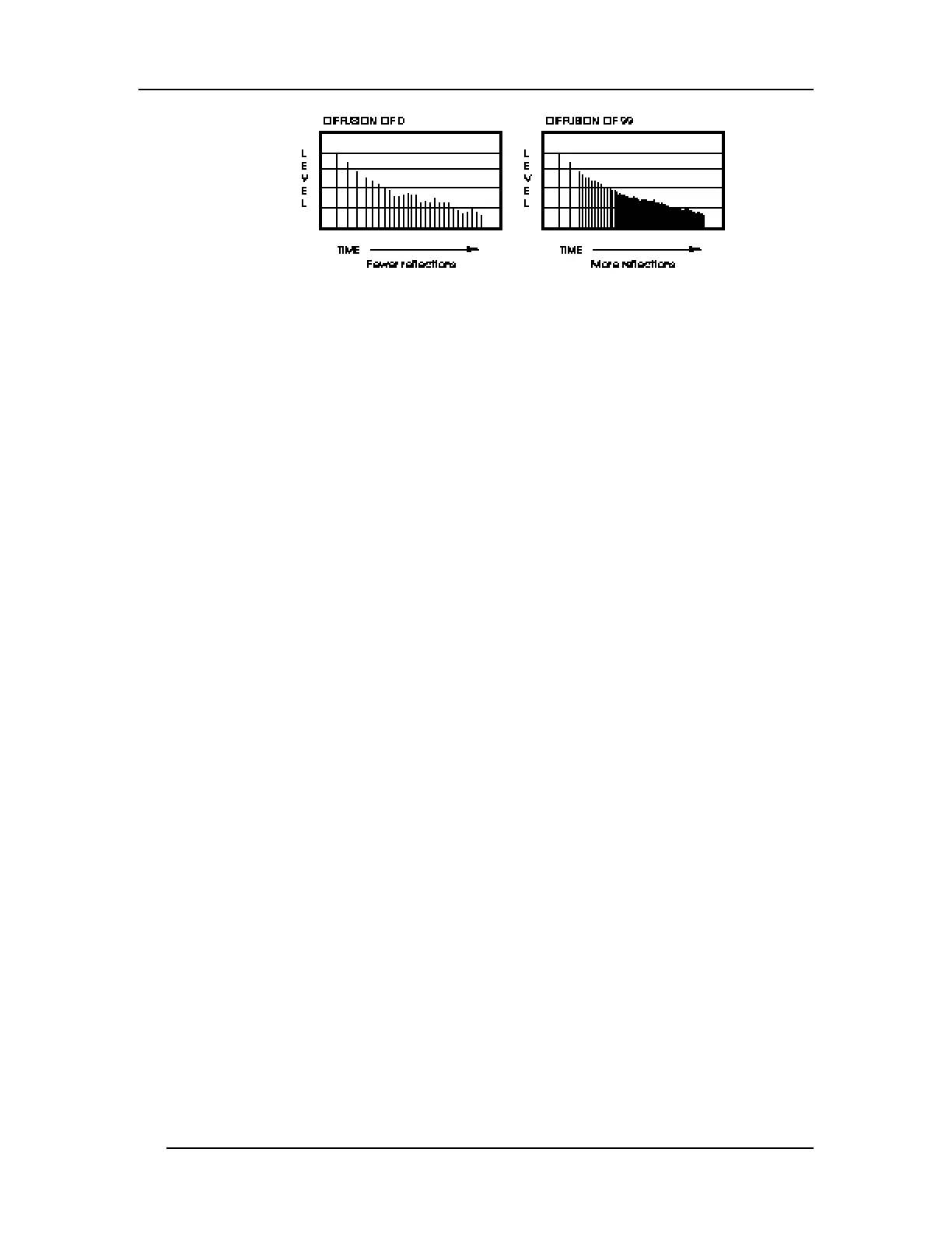
Note: The illustration above reflects a Density setting of 0.
Frequency Damping – Low & High
These two parameters allow you to control the equalization of the reverb’s decay
separately for both the low and high frequencies. This means that you have control
over the tonal shape of the Reverb itself, being able to cut the high frequencies if the
effect is too bright, and being able to cut the lows if the effect is too boomy. These
parameters allow you to simulate different surfaces of a room or hall, with softer
surfaces absorbing more high frequencies and smaller rooms having less low
frequencies. Example: If a room has lots of drapes hung, the high frequencies will
decay faster than the lower frequencies.
Reverberation Swirl
This parameter is very useful for smoothing the decay of the reverb when set at a low
value. When set to a high value, it creates a more dramatic detuning effect as the
reverb decays.
Gating
Gating is the process which abruptly cuts off the reverb’s decay for a more “choppy”
sound. This effect is very popular on drums because it makes them sound HUGE. It
is achieved by dropping the level of the signal very rapidly after the initial attack
making a short, sharp sound.
In all the Single Configuration reverb effect types and most of the Double and Multi
Chain Configurations which use the Realroom effect type, there are three gating
parameters available. These include: Gate, Hold Time, and Release Time. The Gate
controls the level of the reverb signal after the gate closes, and can be set between 001
and 100%. In other words, if Gate is set to 100%, then no reverb will sound after the
gate turns it off. If Gate is set to 50%, then some reverb signal will still be present
even after the gate turns off the main reverb signal. Alternatively, the Gate parameter
can be set to “OFF” when you do not wish to use the gating effect. The Hold Time
determines how long the gate will be held open before it begins to turn off; this can
be set from 0 to 500 ms. The rate at which the gate closes is determined by the Release
Time, which can be set from 0 to 500 ms.
In the case of the Chorus->Room, Flange->Room and Room->Flange Configurations,
only one parameter is available: Gate. This can be set between 10 and 500 ms, and
controls both the hold and release times of the gate effect. Alternatively, the Gate
parameter can be set to “OFF” when you do not wish to use the gating effect.

Other manuals for Alesis 4

Related product manuals