EasyManua.ls Logo

ALPHA-STIM AID - Technical Specifications; Electrical, Timer, and Current Specs; Waveform and Device Dimensions; Waveform Graphic Representation

ALPHA-STIM AID
28 pages
Print Icon
To Next Page IconTo Next Page
To Next Page IconTo Next Page
To Previous Page IconTo Previous Page
To Previous Page IconTo Previous Page
Loading...
19
Electrical
Batteries 2 AAA 1.5 volt (included). Replace with disposable
batteries. Do not use rechargeable batteries. Dispose of
batteries safely in accordance with local government
regulations.
Timer 20, 40 or 60 minute countdown timers.
Current 0 to 500 microamperes (µA), +/- 5%, adjustable in 50 µA
increments. When load is 1KΩ, maximum output current is
525 µA (waveform amplitude is 525 mV) and minimum
output current is 475 µA (waveform amplitude is 475 mV).
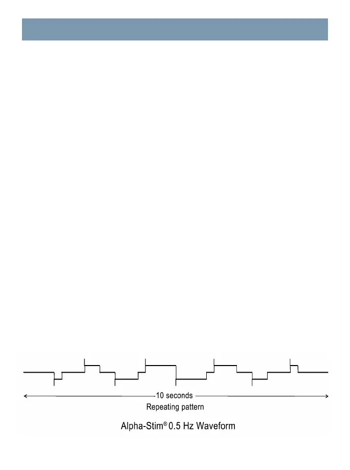
Frequency 0.5 Hz (pulses per second) combined with a constant 0.4
Hz. The average pulse repetition rate is 0.8 Hz.
Pulse Widths Varying between 0.25, 0.5, 0.75 and 1 second.
Charge Per Pulse At 500 µA the charge per pulse varies between 125, 250,
375 and 500 microcoulombs (µC). Every 10 seconds the
total charge is 1.25 millicoulombs (mC) in each direction.
Waveform The impedance range within which the waveform
parameters remain valid are from 100 Ω to 10 KΩ. The
waveform is composed of bipolar asymmetric rectangular
waves at a 50% duty cycle repeating periodically at 10
second intervals. The waveform is balanced to achieve 0
net current in either direction (see graphic).
Device Dimensions
Height 9.8 cm
Width 6.3 cm
Depth 2.0 cm
Weight 101 gm with batteries
Characteristics of the Waveform
TECHNICAL SPECIFICATIONS