EasyManua.ls Logo

Alpine 1310R - Page 3

Alpine 1310R
29 pages
Print Icon
To Next Page IconTo Next Page
To Next Page IconTo Next Page
To Previous Page IconTo Previous Page
To Previous Page IconTo Previous Page
Loading...
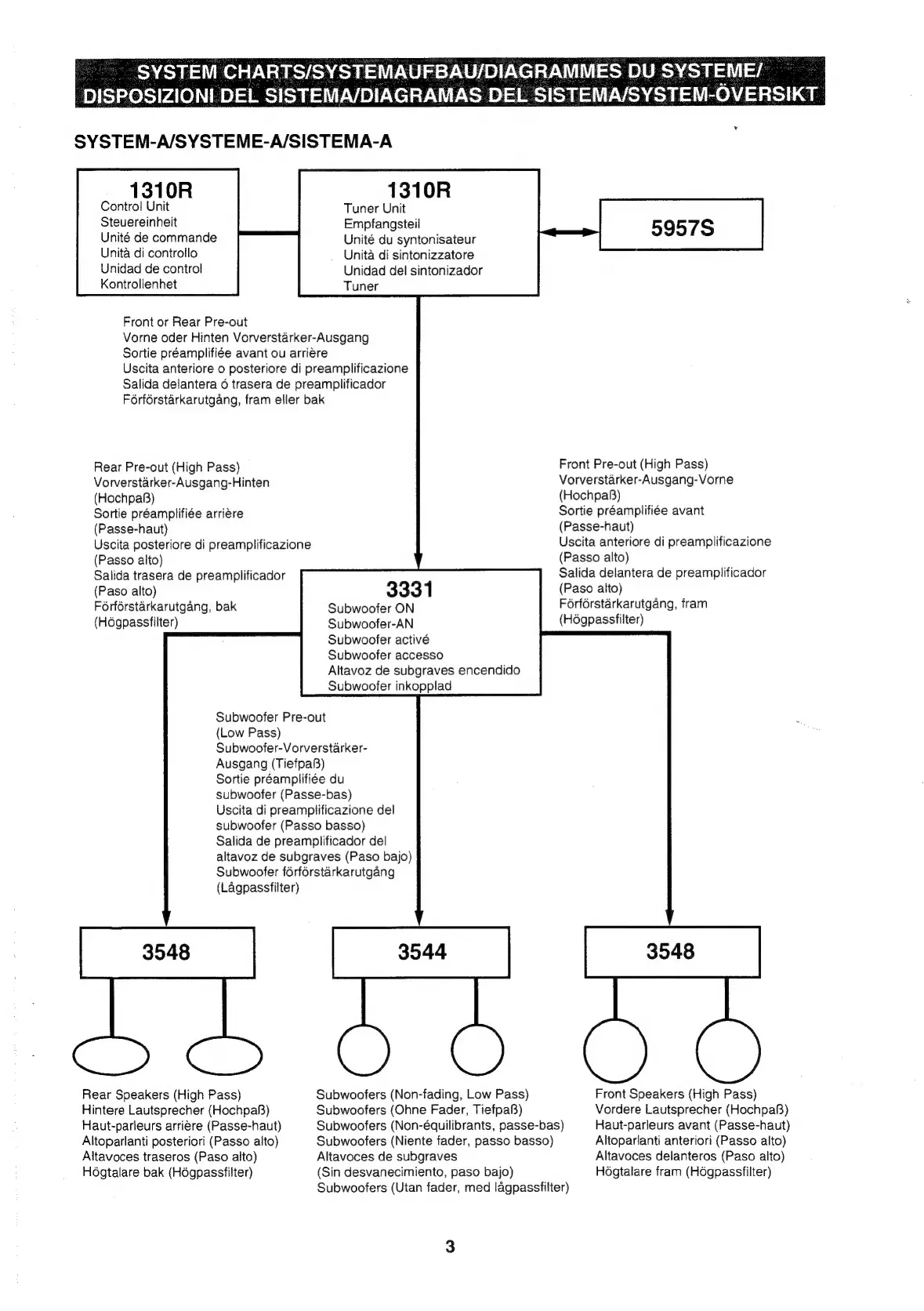
SYSTEM-A/SYSTEME-A/SISTEMA-A
1310R
Contro!
Unit
Steuereinheit
1310R
Tuner
Unit
Empfangsteil
Unité
de
commande
Unita
di
controllo
Unidad
de
control
Kontrollenhet
Unité
du
syntonisateur
Unita
di
sintonizzatore
Unidad
del
sintonizador
Tuner
Front
or
Rear
Pre-out
Vorne
oder
Hinten
Vorverstarker-Ausgang
Sortie
préamplifiée
avant
ou
arriére
Uscita
anteriore
o
posteriore
di
preamplificazione
Salida
delantera
6
trasera
de
preamplificador
Férférstarkarutgang,
fram
eller
bak
SYSTEM
CHARTS/SYSTEMAUFBAU/DIAGRAMMES
DU
SYSTEME/
DISPOSIZIONI
DEL
SISTEMA/DIAGRAMAS
DEL
SISTEMA/SYSTEM-OVERSIKT
Rear
Pre-out
(High
Pass)
Vorverstarker-Ausgang-Hinten
(Hochpa’3)
Sortie
préamplifiée
arriére
(Passe-haut)
Uscita
posteriore
di
preamplificazione
(Passo
alto)
Salida
trasera
de
preamplificador
(Paso
alto)
Foérforstarkarutgang,
bak
(Hdgpassfilter)
3331
Subwoofer
ON
Subwoofer-AN
Subwoofer
activé
Subwoofer
accesso
Altavoz
de
subgraves
encendido
Subwoofer
inkopplad
Subwoofer
Pre-out
(Low
Pass)
Subwoofer-Vorverstarker-
Ausgang
(Tiefpai3)
Sortie
préamplifiée
du
subwoofer
(Passe-bas)
Uscita
di
preamplificazione
del
subwoofer
(Passo
basso)
Salida
de
preamplificador
del
altavoz
de
subgraves
(Paso
bajo)
Subwoofer
férférstarkarutgang
(Lagpassfilter)
Rear
Speakers
(High
Pass)
Hintere
Lautsprecher
(HochpaB)
Haut-parleurs
arriére
(Passe-haut)
Altoparlanti
posteriori
(Passo
alto)
Altavoces
traseros
(Paso
alto)
Hégtalare
bak
(Hégpassfilter)
Subwoofers
(Non-fading,
Low
Pass)
Subwoofers
(Ohne
Fader,
Tiefpal3)
Subwoofers
(Non-équilibrants,
passe-bas)
Subwoofers
(Niente
fader,
passo
basso)
Altavoces
de
subgraves
(Sin
desvanecimiento,
paso
bajo)
5957S
Front
Pre-out
(High
Pass)
Vorverstarker-Ausgang-Vorne
(Hochpa)
Sortie
préamplifiée
avant
(Passe-haut)
Uscita
anteriore
di
preamplificazione
(Passo
alto)
Salida
delantera
de
preamplificador
(Paso
alto)
Forférstarkarutgang,
fram
(Hoégpassfilter)
Front
Speakers
(High
Pass)
Vordere
Lautsprecher
(Hochpal3)
Haut-parleurs
avant
(Passe-haut)
Altoparlanti
anteriori
(Passo
alto)
Altavoces
delanteros
(Paso
alto)
Hégtalare
fram
(Hégpasstfilter)
Subwoofers
(Utan
fader,
med
lagpassfilter)

Related product manuals