EasyManua.ls Logo

Alpine CDM-9803R - Page 21

Alpine CDM-9803R
48 pages
Print Icon
To Next Page IconTo Next Page
To Next Page IconTo Next Page
To Previous Page IconTo Previous Page
To Previous Page IconTo Previous Page
Loading...
IC601
a
6/3.6
FM/AM
z
z
Ofof=
Ziz
(eo)
NIN
Po
OPO
Psi
496
|
52
|
496
|
153
|
48
|
Pe
ee
ee
|
55
146/36]
FM/AM
|
|
56
|
03
|
|
57
|
Nc
|
Ze
ee
eee)
Fe
ee
as
4.96
p60
|
NC
|
4.92
i
Gee
eT
C
p62
|
nc
|
p63
|
NC
|
NC
|
64
|
496
|
4.94
|
85
|
494
Pd
[es
|
496
|
+d
|p
i7
|
NC
Cie
el
ee!
|
68_|
4.96/0
|
CD/RADIO_
|
a
a
ce
ee
|_22
|
0
|
p72
|
nc
|
ee
ee
ee
el
ZO
OZ
OX
p25
|
47
|
|
NC
ee
a
Bs
re
TY
2
Te
CT
TN
EY
A
29
|
0
|_|
79
|
49570
|
Simi
niet
|
ee
)
N
31
|
49570
|
warms
|e
fo
|
+
[32_[-4.95/0]
cD/RADIO|
e2
|
02
|__|
rss}
o
|__|
#3
|
49/0
|
MONO/sT
_|
|
34
|
4.96/0
|
CD/RADIO
|
@4
|
o
|
|
|
35
|
495/0
|
CD/RADIO
|
85
|
NC
|
|
[36
[ovass
|
eiat/#isi
|
66
|
495
|_|
A
PO
p39
|
25
|
to
TNC
|
Pao]
0
{|
90
[nc
[sd
Ate
NG
te
NG
p42
foo
Pe
Tc
p43
fj
495
[8
|
NC
p44
|
496
[NC
p45
|
495
|
oS
TNC
|
Pas
[nc
[|
|
s6
|
nc
|_|
paz
|
om
[ot
NC
Pas[o
[|
sf
nc
|_|
|
49
|
496
ft
99
fog
fT
es
eel
eS
Ee
ee
ee
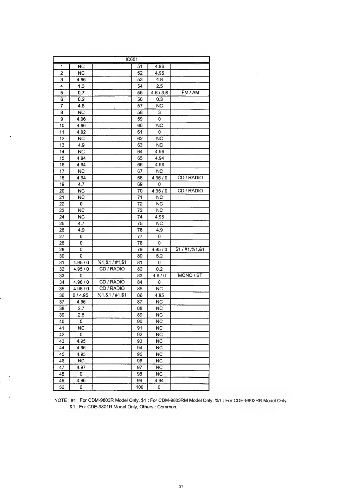
NOTE
:
#1
:
For
CDM-9803R
Model
Only,
$1
:
For
CDM-9803RM
Model
Only,
%1
:
For
CDE-9802RB
Model
Only,
&1
:
For
CDE-9801R
Model
Only,
Others
:
Common.
21

Related product manuals