EasyManua.ls Logo

Antec EARTHWATTS - Product Overview; Environmentally Friendly Power; Standards and Features; System Protection

Antec EARTHWATTS
7 pages
Print Icon
To Next Page IconTo Next Page
To Next Page IconTo Next Page
To Previous Page IconTo Previous Page
To Previous Page IconTo Previous Page
Loading...
U
SER
S
M
ANUAL
A
NTEC
E
ARTH
W
ATTS
S
ERIES
EA-750
P
OWER
S
UPPLY
E
NVIRONMENTALLY
F
RIENDLY
P
OWER
The EarthWatts series is Antec’s line of high-efficiency power supply units (PSU). Combining cutting-edge
technology with an energy-efficient design, the EarthWatts series presents some of the most environmentally
friendly power supplies on the planet.
S
TANDARDS AND
F
EATURES
The EA-750 PSU is compatible with ATX12V v2.3 and EPS12V v2.91 specifications. The EA-750 features Universal
Input, which automatically senses when you connect to any AC power source between 100~240V without having
to worry about setting a voltage switch. This power supply also features Active Power Factor Correction (Active
PFC), which improves the power factor value of the power supply by altering the input current wave shape, helping
to power transmission across the grid.
S
YSTEM
P
ROTECTION
A variety of industrial-grade safety circuitry will help protect your computer: OVP (Over Voltage Protection), SCP
(Short Circuit Protection), and OCP (Over Current Protection). Sometimes the PSU will “latch” into a protected
state. This means that you will need to turn off the PSU and clear the fault before it will function again. There are
no user-replaceable fuses in your EarthWatts PSU.
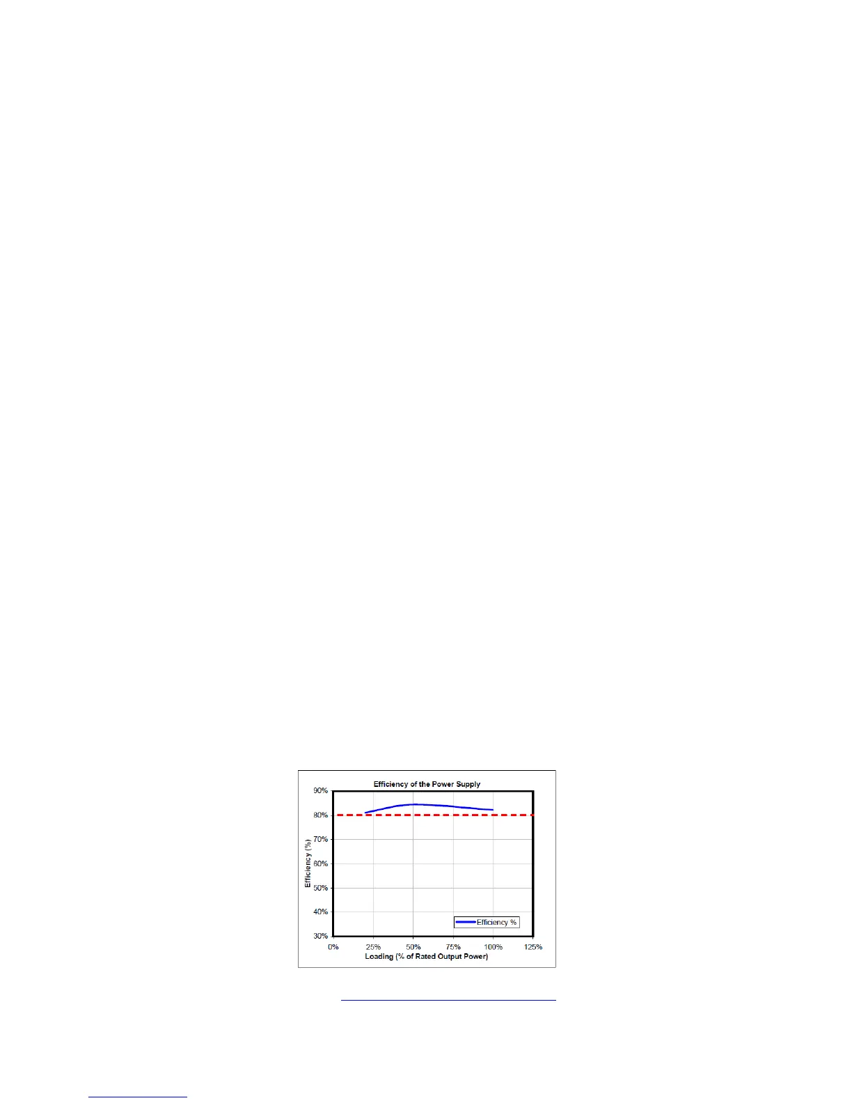
80
PLUS®
C
ERTIFICATION
The 80 PLUS® certification program sets the highest independent standards in power supply efficiency. This means
that the PSU will generate less heat so it stays cooler, runs more quietly, and lasts longer. The EarthWatts series
has been certified to be at least 80% efficient at a wide range of operating loads and will lower your operating
costs while helping to protect the environment.
Source: 80 PLUS® Verification and Testing Report

Related product manuals