EasyManua.ls Logo

AOC L22DK99U - Page 32

AOC L22DK99U
166 pages
To Next Page IconTo Next Page
To Next Page IconTo Next Page
To Previous Page IconTo Previous Page
To Previous Page IconTo Previous Page
Loading...
32
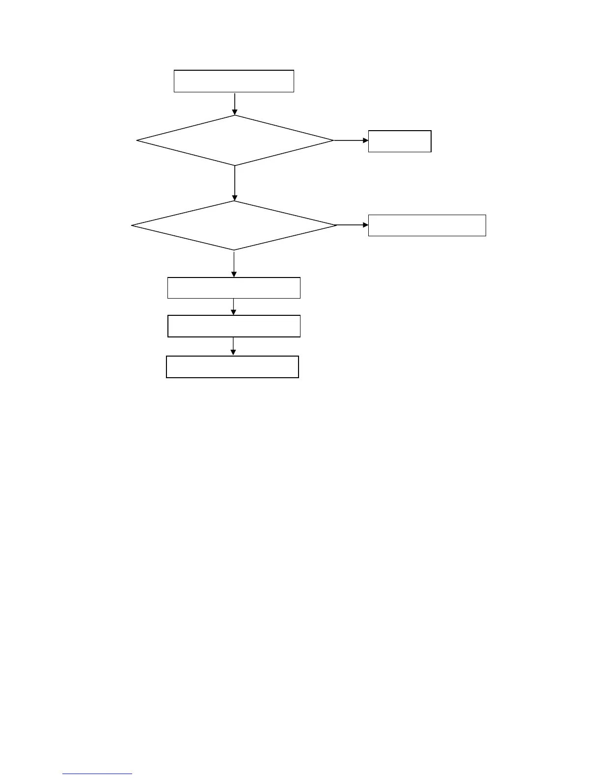
1. No power (for 26”_32”)
No power (LED “Off”)
Check the AC input and
the
p
ower is “ON”?
Power “On”
Check the IR board and LED
Replace the IR board
Replace the main board
Power board output=5V?
Replace the power board
No
Yes
No
Yes
No

Other manuals for AOC L22DK99U

Related product manuals