EasyManua.ls Logo

Argos Opti Mini Stepper - Getting Started with Exercise; Understanding Exercise Intensity

Argos Opti Mini Stepper
15 pages
Print Icon
To Next Page IconTo Next Page
To Next Page IconTo Next Page
To Previous Page IconTo Previous Page
To Previous Page IconTo Previous Page
Loading...
Exercising Information
Before starting
If you have been inactive for
several years,
or are overweight, you must start slowly and increase your time on the equipment;
a few minutes per
is advisable.
Initially, you may be able to exercise only for a few minutes in your target zone, however, your aerobic tness
will improve over the next six to eight weeks. Don’t be discouraged if it takes longer. It’s important to work
at your own pace.
Please remember these essentials:
• Have your doctor review your training and diet programs to advise you of a workout rou
tine you should adopt.
• Begin your training program slowly with realistic goals.
Monitor your pulse frequently. Establish your target heart rate based on your age and condition.
• Set up your equipment on a at even surface with adequate training area, as prescribed in this manual.
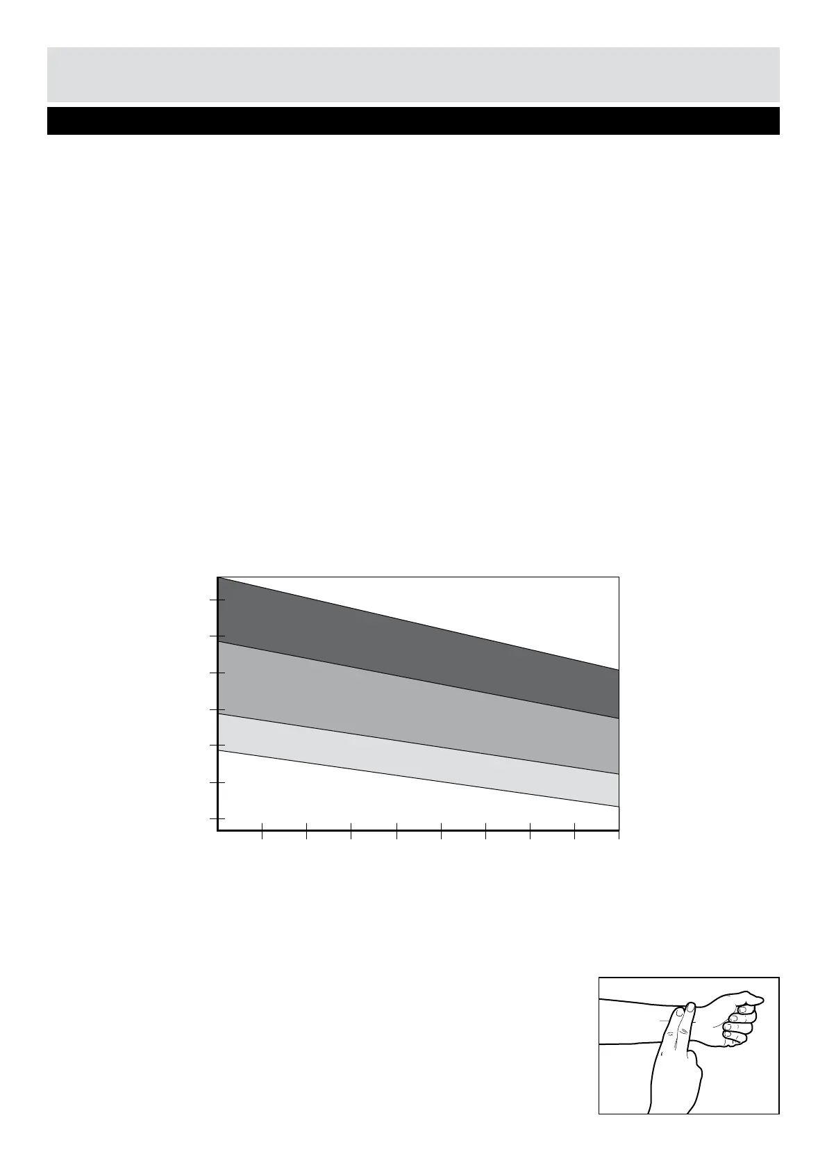
80
100
120
140
160
180
200
Beats per minute (bpm)
25
Age
30 35 40 45 50 55 60 70
Cardiovascular
performance
Intermediate aerobic
Effective fat burning
Up to 55%
55% to 65%
65% to 85%
85% to Max
During the rst few months of your exercise program, keep your heart rate near the low end of your target zone
as you exercise. After a few months, your heart rate can be increased gradually until it is near the middle of
your target zone as you exercise.
To measure your heart rate, stop exercising but continue moving your legs or
walking around and place two ngers on your wrist. Take a six-second heartbeat
count and multiply the results by 10 to nd your heart rate. For example, if your
six-second heartbeat count is 14, your head rate is 140 beats per minute.
(A six-second count is used because your heart rate will drop rapidly when you
stop exercising.) Adjust the intensity of your exercise until your heart rate is at the
required level.
Exercise intensity
To maximize the benets of exercising, it is important to exercise at an appropriate intensity. The intensity
level can be found by using your heart rate as a guide. For effective aerobic exercise, your heart rate should
be maintained at a level between 65% and 85% of your maximum heart rate as you exer
cise. This is known as
your target zone. You can nd your target zone in the table below.
7
Tailor your exercise program according to your physical condition.
increase