EasyManua.ls Logo

Atag i24S - Page 47

Atag i24S
71 pages
Print Icon
To Next Page IconTo Next Page
To Next Page IconTo Next Page
To Previous Page IconTo Previous Page
To Previous Page IconTo Previous Page
Loading...
46 | P a g e
102 Description: Pressure sensor defective
Cause: Pressure sensor outside the expected resistance value, open or short circuit.
1. Use a multimeter to check the wiring harness to the water pressure sensor for continuity from PCB
connector CN12, pins 6, 7 & 8, whilst checking connectors are tight and free from damage or corrosion.
Replace as required.
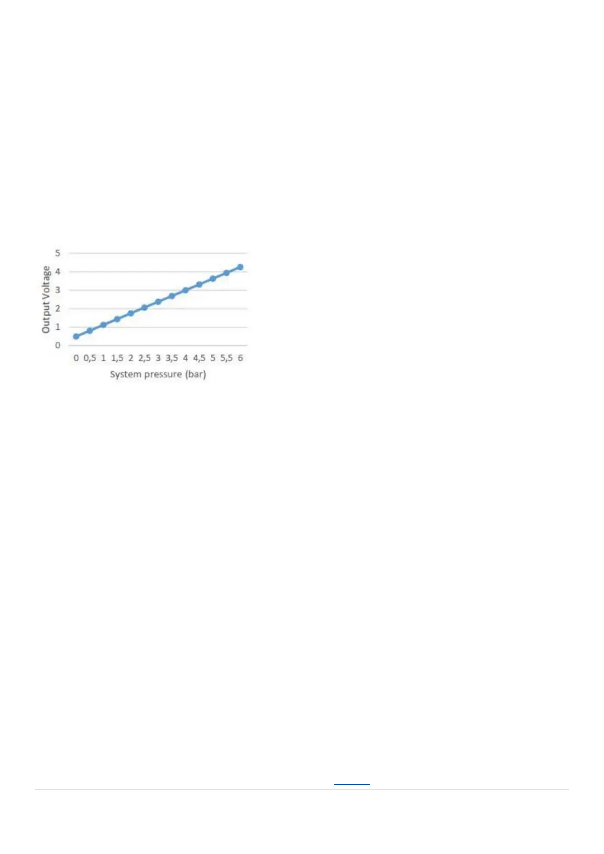
2. Check DC voltage from pressure sensor back to the PCB on connector CN12, pins 7&8. The voltage should be
as per the table below.
3. Drain the boiler and clean the pressure sensor or replace as required. **Note** water can still come out of
the connection of the pressure sensor so protect underlying parts from this.
4. If the fault still occurs after replacing the sensor and confirming the wiring harness is ok, replace the PCB.
108 Description: Constant filling, water pressure too low, < 0.7 bar
Cause: System water pressure below 0.7 bar.
1. Check pressure loss patterns with the consumer and if any work has been carried out on the system or
boiler.
2. Check analogue and digital pressure readouts match. If these do not match add pressure to the system and
check gauges read new pressure. Replace as required.
3. Check the heating system for leaks (system needs to be cold and may need to be over pressured to force
leak).
4. Ensure adequate expansion for property.
5. Check the boiler for leaks including removal of the siphon to check heat exchanger for leaks.
6. Check the pressure relief valve for leakage.
7. Check expansion vessel flexi hose is correctly connected with no kinks or blockages.
8. Check expansion vessel pressure is set correctly as per the manufacturer’s instructions, and check Shrader
core for leakage.
Water in the expansion vessel may only be condensation and can be removed using the
expansion vessel service procedure found on page 68.

Other manuals for Atag i24S

Related product manuals