EasyManua.ls Logo

Atag i28C - 61 Bus Communication Error

Atag i28C
71 pages
Print Icon
To Next Page IconTo Next Page
To Next Page IconTo Next Page
To Previous Page IconTo Previous Page
To Previous Page IconTo Previous Page
Loading...
5 | P a g e
61 Description: Bus communication error
Cause: No signal from One controller (contact open).
1. Turn off the power at fused spur, wait 5 seconds and re-establish power. If connection fails to establish,
follow on from point 2.
2. Perform a factory reset on the controller by removing the controller from the wall. Then use a pen or small
screwdriver and press the reset button on the rear of the controller.
3. Check connector at rear of One Controller, ensure pins are not bent.
4. Check continuity of wires from controller to the PCB with a multimeter.
5. Check connection on blue Bus connector at PCB.
6. Check One Controller for power.
a. At the Blue Bus connector in the boiler expect 17 VDC.
b. At the back plate connector of the One Controller, expect 32 VDC with the controller removed.
7. If no power to controller, replace PCB.
8. If power to controller, replace One controller.
78 Description: No pump kick detected/Faulty pressure sensor.
Cause: No pressure increase while the pump is running at full load for 5 seconds. This can be caused by air in the
boiler, a blocked or faulty pressure sensor or a faulty pump. The pressure increase by the pump must be at least 0.1
bar.
1. Check analogue and digital pressure readouts match.
If these do not match add pressure to the system and check digital gauge reads new pressure.
Clean sensor if contaminated or replace as required.
2. Use a multimeter to check the wiring harness to the water pressure sensor for continuity from PCB
connector X7 pins 5, 6 & 7, whilst checking connectors are tight and free from damage or corrosion.
Replace as required.
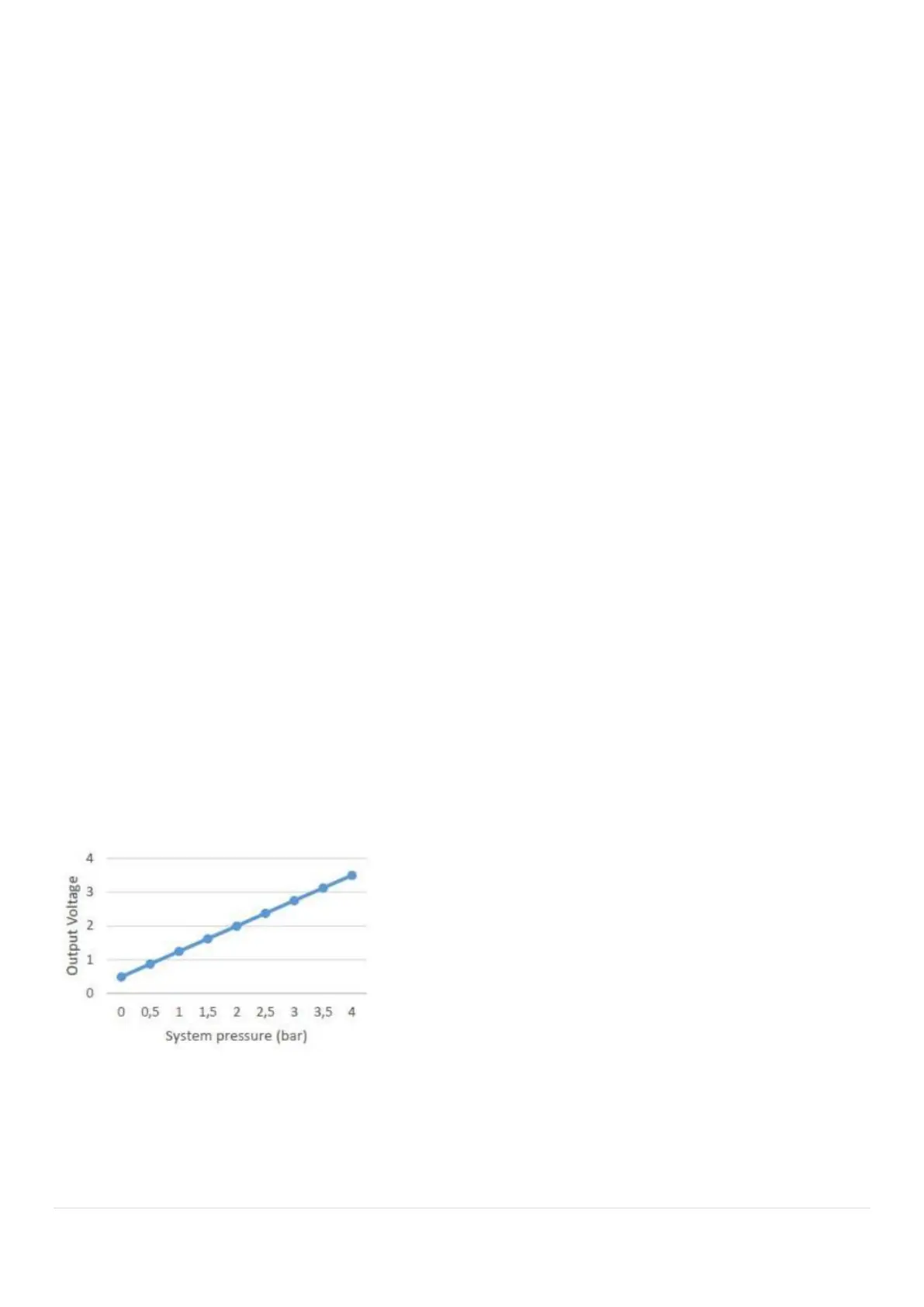
3. Check DC voltage from pressure sensor back to the PCB on connector X7 pins 5 & 7. The voltage should be
as per the table below. Clean or replace the sensor as required.
4. Check the pump for air and vent the system if required.
Use the boiler air purge to assist by turning off the power at the fused spur for 5 seconds and then
re-establish the power.
5. Check auto air vent is operating correctly and not contaminated with sludge.
6. Check the operation and voltage of the pump with a demand.

Other manuals for Atag i28C

Related product manuals