EasyManua.ls Logo

Ballantine 323 Series - Page 2

Ballantine 323 Series
74 pages
Print Icon
To Next Page IconTo Next Page
To Next Page IconTo Next Page
To Previous Page IconTo Previous Page
To Previous Page IconTo Previous Page
Loading...
WARRANTY
This Ballantine Laboratories, Inc. product is warranted against defects in materials
and workmanship for a period of one year from the date of shipment, except for
batteries, electron tubes, vacuum thermocouples, and
cedain other components, if
any, listed in this manual. Ballantine Laboratories, Inc. will, at its option, repair or
replace products which prove to be defective during the warranty period provided
they are returned to Ballantine Laboratories, Inc. prepaid, and provided the proper
preventive maintenance and calibration procedures as listed in this manual have
been followed. Repairs
necessitates
by misuse of the product are not covered by
this warranty. NO OTHER WARRANTIES ARE EXPRESSED OR IMPLIED, IN-
CLUDING BUT NOT LIMITED TO THE IMPLIED WARRANTIES OF MERCHANT-
ABILITY AND FITNESS FOR A PARTICULAR PURPOSE.
BALLANTINE LAB-
ORATORIES, INC. IS NOT LIABLE FOR CONSEQUENTIAL DAMAGES.
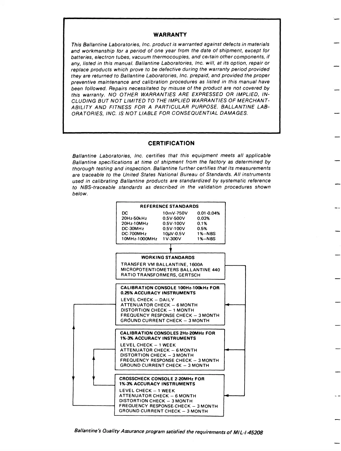
CERTIFICATION
Ballantine Laboratories, Inc. certifies that this equipment meets all applicable
Ballantine specifications at time of shipment from the factory as determined by
thorough testing and inspection. Ballantine further certifies that its measurements
are traceable to the United States National Bureau of Standards. All instruments
used in calibrating Ballantine products are standardized by systematic reference
to NBS-traceable standards as described in the validation procedures shown
below.
I
REFERENCE STANDARDS
I
Ballantine's Quality Assurance program satisfied the requirements of MIL-145208
+
4
FREOUENCY RESPONSE.CHECK
-
3
MONTH
GROUND CURRENT CHECK
-
3
MONTH
r
--
WORKING STANDARDS
TRANSFER VM BALLANTINE, 1600A
MICROPOTENTIOMETERS BALLANTINE
440
RATIO TRANSFORMERS, GERTSCH
CALIBRATION CONSOLE 100Hz-100kHz FOR
0.25% ACCURACY INSTRUMENTS
LEVEL CHECK
-
DAILY
ATTENUATOR CHECK
-
6
MONTH
DISTORTION CHECK
-
1
MONTH
FREQUENCY RESPONSE CHECK
-
3
MONTH
GROUND CURRENT CHECK
-
3
MONTH
CALIBRATION CONSOLES 2Hz-20MHz FOR
1%-3%
ACCURACY INSTRUMENTS
LEVEL CHECK
-
1
WEEK
ATTENUATOR CHECK
-
6
MONTH
DISTORTION CHECK
-
3
MONTH
FREOUENCY RESPONSE CHECK
-
3
MONTH
GROUND CURRENT CHECK
-
3
MONTH
CROSSCHECK CONSOLE 2-20MHz FOR
1
1%-3%
ACCURACY INSTRUMENTS
LEVEL CHECK
-
1
WEEK
ATTENUATOR CHECK
-
6
MONTH
DISTORTION CHECK
-
3
MONTH
-
ri
A
1r

Table of Contents

Related product manuals