EasyManua.ls Logo

Bard W42AC-B - Ventilation Delivery

Bard W42AC-B
104 pages
Print Icon
To Next Page IconTo Next Page
To Next Page IconTo Next Page
To Previous Page IconTo Previous Page
To Previous Page IconTo Previous Page
Loading...
Manual 2100-692H
Page 43 of 44
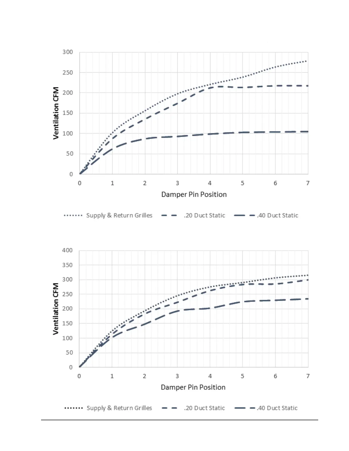
GRAPH 1
W42AC FAD-NE5 W/O Exhaust Ventilation Delivery
GRAPH 2
W48AC FAD-NE5 W/O Exhaust Ventilation Delivery

Table of Contents

Other manuals for Bard W42AC-B

Related product manuals