EasyManua.ls Logo

BFT ALPHA - Declaration of Conformity

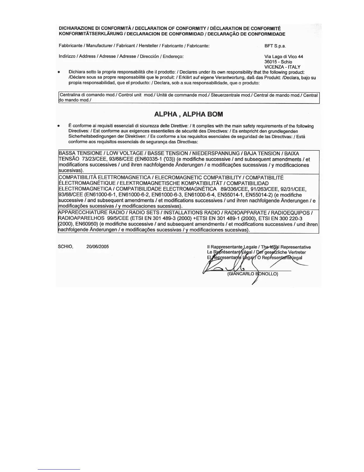
BFT ALPHA
Print Icon
To Next Page IconTo Next Page
To Next Page IconTo Next Page
To Previous Page IconTo Previous Page
To Previous Page IconTo Previous Page
Loading...
2 - ALPHA-ALPHA BOM - Ver. 06
D811430_06

Other manuals for BFT ALPHA

Related product manuals