EasyManua.ls Logo

Bosch SHU43C07 - Water Leaking Past Doors

Bosch SHU43C07
144 pages
Print Icon
To Next Page IconTo Next Page
To Next Page IconTo Next Page
To Previous Page IconTo Previous Page
To Previous Page IconTo Previous Page
Loading...
70
VIII. Troubleshooting
VIII. Troubleshooting
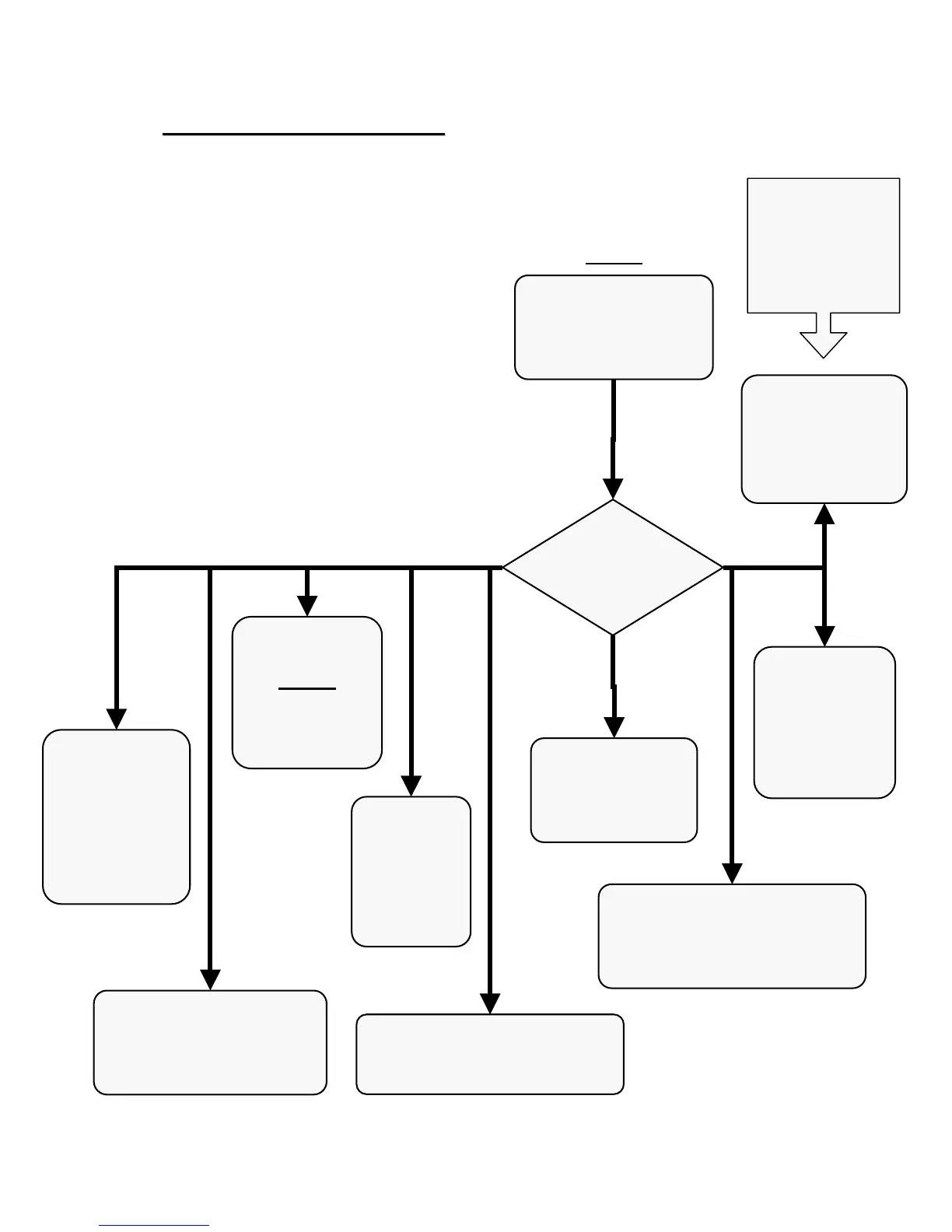
Water Leaking Past Doors
Water occasionally
leaks past bottom
of doors, usually at
start of cycles.
Water seldom leaks out of bottom of
dishwasher doors. Usually it’s a
customer or installation issue.
Occasionally temporary blockages of
condensation tubes by air pockets
(from standing water in loops) or kinks
in tubes causes leaking. Pressure
builds in tanks, blowing water past
lower door seals. Draining
condensation tubes and straightening
out kinks solves these occasional
problems.
Have these
issues been
checked??
Leveling
dishwashers
before
attaching
undercounter
brackets
Draining (&
clearing)
condensation
tubes
(including
debris in
bases)
Straightening
kinks in
condensation
tubes
Refilling
lower
racks
overfilled
with
dishes
Water Leaking Past Doors
Make sure
condensation
tubes aren’t
connected to
drains or air
gaps!
START
Making sure
bottom end of
condensation
tubes are in
bases
Redrilling
wood doors
to make
dishwasher
doors
square
Curing oversudsing --
customer education (too
much soap/rinse-aid or
very soft water)
Replacing damaged
door seals (including
replacements cut too
short)
Moving flexible cutting
boards to left side of
dishwasher

Table of Contents

Related product manuals