EasyManua.ls Logo

Boston Scientific Vercise DB-2201 - Page 46

Boston Scientific Vercise DB-2201
234 pages
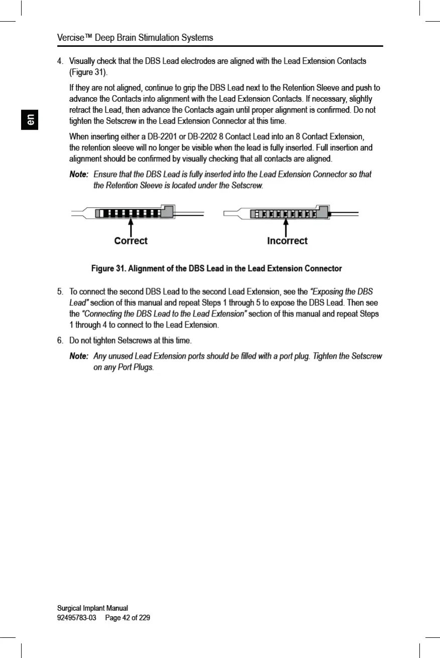
Print Icon
To Next Page IconTo Next Page
To Next Page IconTo Next Page
To Previous Page IconTo Previous Page
To Previous Page IconTo Previous Page
Loading...

Table of Contents

Related product manuals