EasyManua.ls Logo

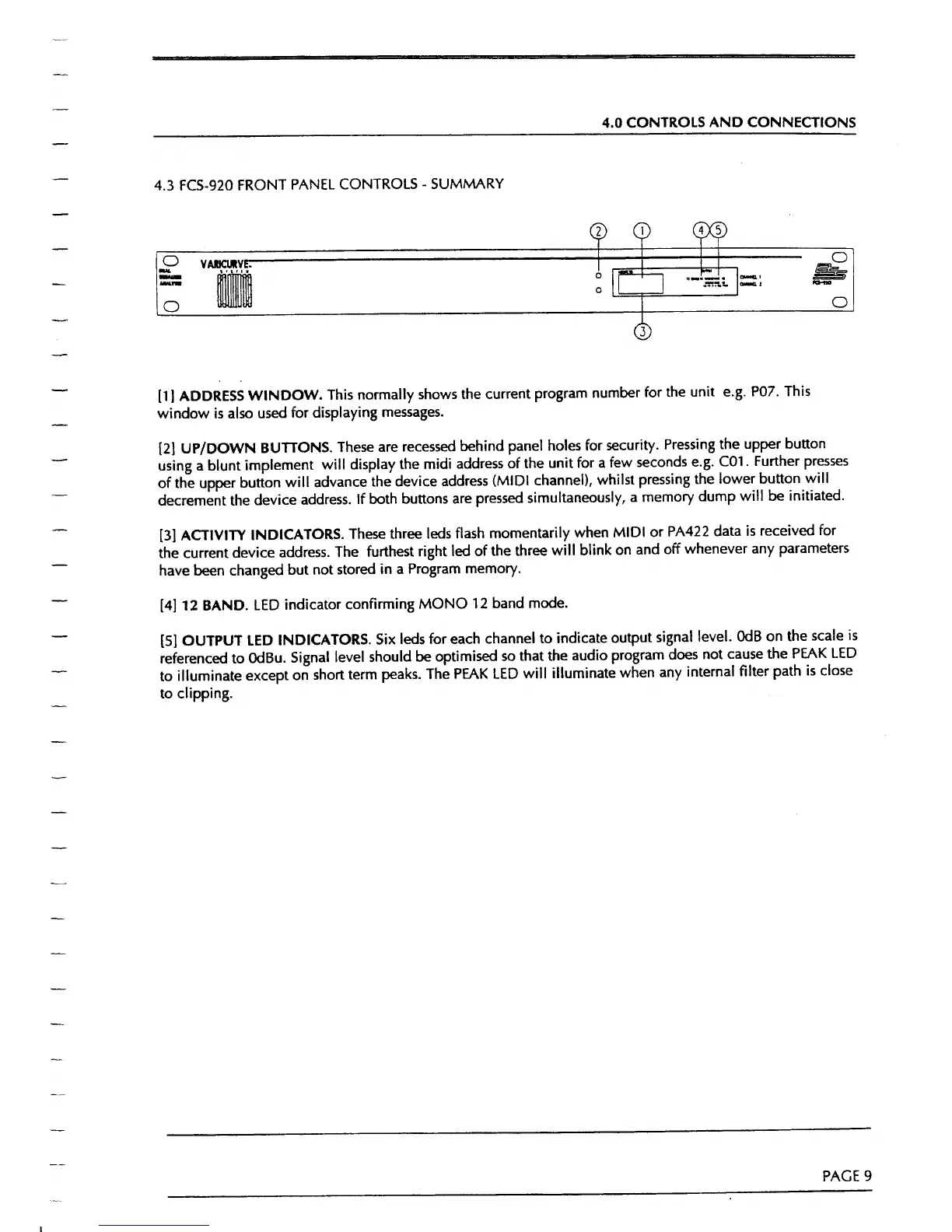
BSS Audio FCS-926 - FCS-920 Front Panel Controls

BSS Audio FCS-926
50 pages
Print Icon
To Next Page IconTo Next Page
To Next Page IconTo Next Page
To Previous Page IconTo Previous Page
To Previous Page IconTo Previous Page
Loading...

Other manuals for BSS Audio FCS-926

Related product manuals