EasyManua.ls Logo

Carrier TP-NRH - Page 47

Carrier TP-NRH
80 pages
Print Icon
To Next Page IconTo Next Page
To Next Page IconTo Next Page
To Previous Page IconTo Previous Page
To Previous Page IconTo Previous Page
Loading...
47
A06599
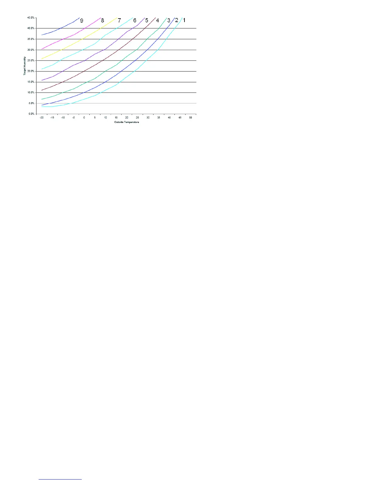
Fig. 16 -- Auto Humidity
3. Dehumidify Off
Dehumidification can be turned off completely. This can be done without
changing existing setpoints.
To Select Dehumidification (programmable -- between NORMAL, COOL
TO, and OFF)
Press the soft key below the dehumidify icon button to bring up dehumidify
selections. Dehumidify options are only available when in Cooling mode. When

Other manuals for Carrier TP-NRH

Related product manuals