EasyManua.ls Logo

Casio VZ-1 - CZ Bend Range

Casio VZ-1
31 pages
Print Icon
To Next Page IconTo Next Page
To Next Page IconTo Next Page
To Previous Page IconTo Previous Page
To Previous Page IconTo Previous Page
Loading...
ii)
Transmit/Receive
status
Transmit/Receive
Validity
Mode
MENU
3-4
~
EXCLUSIVE
=
Transmitted
OP.
MEM
—MULTI
CH.
MENU
3-02
ENA
Received
OP.
MEM-MULTI
CH.
MENU
3-02
ENA
iii)
Transmit/Receive
Operations
Parameters
in
MENU
3-02
must
be
correctly
set
for
both
the
transmitting
and
sending
devices.
In
this
state
the
receiving
device
is
set
to
receive
standby
status
(“EXECUTING”
message
flashes),
and
the
following
proce¬
dure
is
executed.
(1)
TRANSMITTING
DEVICE:
Press
YES
key
in
response
to
EXECUTE
=
“YES?”
prompt.
“OPEN”
message
is
transmitted.
(2)
RECEIVING
DEVICE:
“OK”
message
displayed
if
“OPEN”
message
is
received
without
problem
(
NOTE
1)
(3)
TRANSMITTING
DEVICE:
Transmits
64
tone
data
messages
and
64
operation
data
messages
after
receiving
above
“OK”
message.
(
NOTE
2)
(4)
RECEIVING
DEVICE:
Begins
receiving
above
data
messages.
(*NOTE
3)
(5)
TRANSMITTING
DEVICE:
Transmits
“CLOSE”
message
when
all
data
has
been
transmitted.
“SAVE
OK!”
message
displayed
on
LCD.
(6)
RECEIVING
DEVICE:
“CLOSE”
message
received,
“LOAD
OK!”
message
displayed
on
LCD.
NOTE
1)
If
status
of
transmitting
and
receiving
devices
differ
(for
example,
if
one
is
set
to
VOICE
and
the
other
is
set
to
OP.
MEM),
receiving
device
transmits
and
displays
an
“ERROR”
message.
Trans¬
mitting
device
receives
error
message
and
error
message
appears
on
display.
NOTE
2)
Transmission
begins
after
a
specified
period
of
time
even
if
OK
message
is
not
received
by
transmit¬
ting
device
(when
devices
are
connected
with
only
one
MIDI
cable,
etc.).
NOTE
3)
“OK”
message
transmitted
after
reception
of
each
tone
or
operation
with
receiving
device
is
another
.
VZ-1/VZ-10M.
NOTE
4)
When
devices
are
connected
with
only
1
cable,
stop
message
is
not
transmitted
to
transmitting
device
even
if
operations
are
aborted
by
pressing
MENU
3
key
on
receiving
device.
Because
of
this,
trans¬
mitting
device
continues
transmission.
9.
CZ
Bend
Range
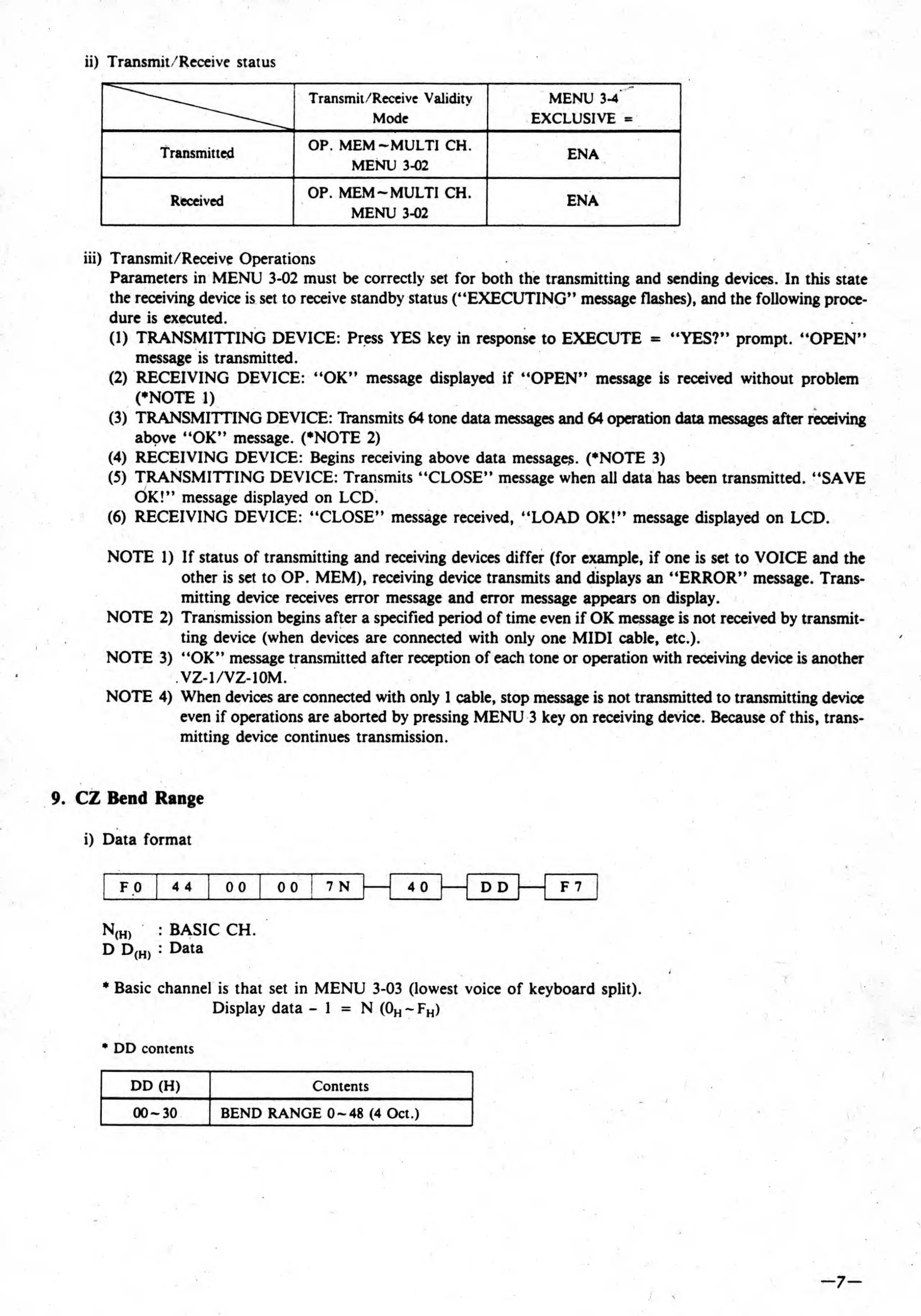
i)
Data
format
F0
4
4
0
0
00
.-J
7
N
4
0
D
D
F
7
N
(H)
:
BASIC
CH.
D
D
(H
)
Data
Basic
channel
is
that
set
in
MENU
3-03
(lowest
voice
of
keyboard
split).
Display
data
-
1
=
N
(0
H
F
H
)
*
DD
contents
DD
(H)
Contents
00-30
BEND
RANGE
0-48
(4
Oct.)
-
7
-

Other manuals for Casio VZ-1

Related product manuals