EasyManua.ls Logo

CBE GB520 - Informations Generales

CBE GB520
Print Icon
To Next Page IconTo Next Page
To Next Page IconTo Next Page
To Previous Page IconTo Previous Page
To Previous Page IconTo Previous Page
Loading...
F
14
INFORMATIONS GENERALES
CB520
1 2 3 4 5 6
15,2 V
15,2 V
15,2 V
Max 2h
Max 14,1 V
Max 14,4 V
Max 14,7 V
1,5h
8h
3h
13,5 V
13,8 V
13,8 V
Max 15h
0 A
0 A
0 A
V < 13,0V
14,1 V
14,4 V
14,7 V
Max 1h
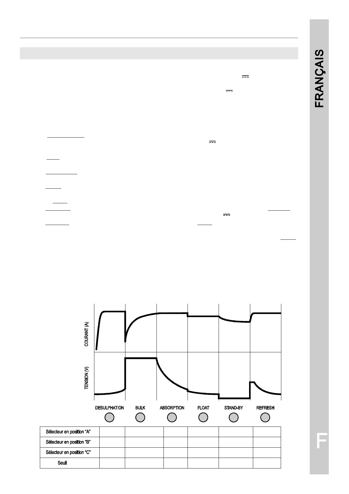
Le chargeur de batterie à découpage CB520, scifiquement conçu pour les camping-cars et le secteur
nautique, est en mesure de charger automatiquement des batteries au plomb à 12V , avec difrentes
valeurs de charge en fonction de la position définie par le biais du sélecteur positionné à l’intérieur.
Le chargeur de batterie est proté contre les surchauffes et les sorties à 12V sont protées contre
les courts-circuits et linversion de polari.
La technologie découpage à haute fréquence permet d’obtenir des élevés avec des poids
et des dimensions réduites.
Phase 1: - Lors de l’allumage du chargeur de batterie, uniquement si la batterie le
nécessite, cette dernre est chargée à une tension de 15,2 V jusquà ce que le courant
dépasse les 2 A ou bien pendant au maximum 2 heures.
Phase 2 Recharge de la batterie avec le courant maximal jusqu ce qu'elle atteigne la tension
de fin de charge.
Phase 3 Fin du chargement de la batterie avec une tension de fin de charge constante
pour la due définie par les lignes de charge avec une duction progressive du courant.
Phase 4: - Chargement de maintien à une tension constante pour une durée maximale de 15
heures. Une consommation élevée de la batterie entraîne le remarrage à partir de la phase
de
Phase 5: Le chargeur de batterie ne fournit plus dénergie et passe à la phase de
uniquement lorsque la tension de la batterie descend sous les 13 V
Phase 6: - La batterie est chargée à la tension de charge pour une due maximale d’1h;
cette phase a été conçue afin de compenser lauto-charge de la batterie au cours
déventuelles riodes prolongées d’inactivi. Ensuite, le chargement repart en phase de
à performances
Dans la plus grande partie des cas, le sélecteur peut être mis en position « A » pour les batteries au plomb-
acide, en position « B » pour les batteries au gel et en position « C » pour les batteries AGM.
Il est néanmoins conseillé de consulter la fiche technique de la batterie installée.
Système de recharge automatique à 6 phases
: -
: -
-
.
Desulphation
Bulk
Absorption
Float
Bulk.
Stand-by Refresh
Refresh Bulk
Float.
NB: La fin de charge est uniquement obtenue si la batterie est performante.
La position du lecteur doit être finie en fonction des tensions de charge les plus adaptées au
type de batterie installée.

Related product manuals