EasyManua.ls Logo

CITROEN DS series - Page 34

CITROEN DS series
56 pages
To Next Page IconTo Next Page
To Next Page IconTo Next Page
To Previous Page IconTo Previous Page
To Previous Page IconTo Previous Page
Loading...
U
The Citroën Guide Suspension: Activa Suspension 34
spheres, and making the coercive force be applied through
a spring element which becomes progressively stiffer the
more correction is needed.
The ECU controling the electro-valve uses sensors identi
-
cal to the Hydractive system. The values of vehicle speed,
steering wheel rotation angle and speed determine when
the second mode of anti-roll behavior has to be enforced.
Similary to the operation of the suspension computer, the
Activa ECU also uses the driver as the input to determine
the motion of the vehicle body: if the roll is caused by the
unevenness of the road surface, the steering wheel will not
be rotated. In curves, the computer calculates the maxi
-
mum potential lateral acceleration (vehicle speed is mea
-
sured by its sensor, the turning radius is communicated by
the steering wheel angle sensor, the mass of the car is a
known constant—the centrifugal force can be calculated
from these values) and decides wether the spring element
formed by the two spheres needs to become rigid to make
the system compensate for the body roll.
In this mode the Activa sphere is isolated from the rest of
the system, the fluid line between the roll corrector and the
active linkage is blocked at both ends, making the linkage
completely rigid. Even if the roll collector end is open, the
linkage remains quite rigid (providing for a very hard spring
coupled with high damping); only half of the displacement
escapes from the additional accumulator sphere through a
restrictive regulator.
The additional damping of the Activa sphere is now
switched off, the correction is applied only through the very
hard roll-bar. When the possible range of correction is ex
-
hausted (strut linkage extends or contracts as far as it can),
at about 0.6 g lateral acceleration, only the very hard roll-
bar remains functional.
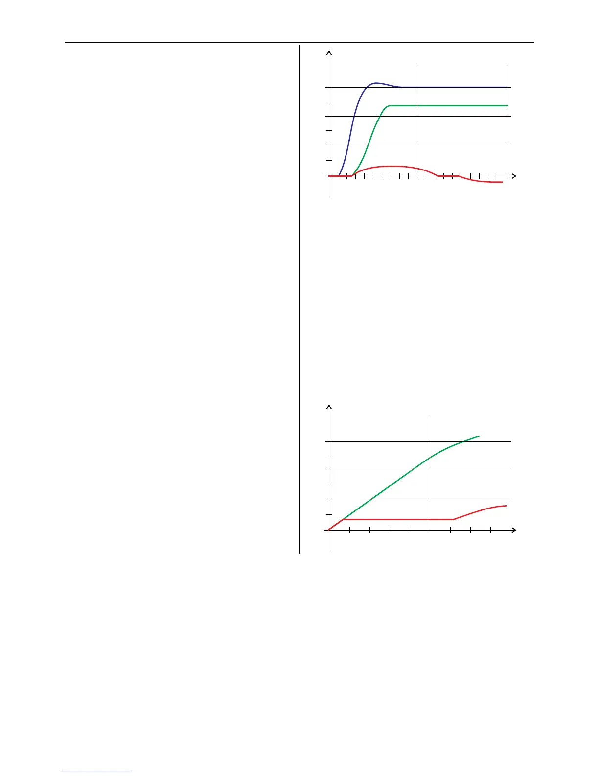
The diagrams showing the kinetic characteristics of an
Activa car reveal the details. The first diagram shows the re
-
lationship between time and roll angle for a constant lateral
acceleration. It can be observed clearly that the Hydractive
system can only limit roll damping, not roll angle. Note that
the initial slope of both Hydractive curves—the section up
to 0.4–0.6 seconds— is practically the same in both soft
and hard mode. This slope represents the combined
hardness of the roll bar and the associated hydraulic compo
-
nents. Yet, the reaction time is longer in the soft mode (0.8
seconds versus 0.6, indicated by the last bend when the
curve turns into a horizontal line). As the corner spheres are
isolated and their combined gas volume is less in hard
mode, the maximum roll angle stabilizes around 2.5 de
-
grees while in soft mode it reaches 3 degrees.
The second diagram depicts the relation between the lat
-
eral acceleration and the roll angle. The hydraulical-mechan
-
ical roll bar of the Activa starts the same as the Hydractive
system with minimum lateral acceleration. But, while the
Hydractive stays almost linear—the sharper you turn, the
bigger the body roll angle will be—, the Activa compen
-
sates by keeping the body roll angle at a constant below 0.5
degree up to a lateral acceleration of 0.6 g (by providing an
effectively infinitely stiff roll bar setup). But even when the
limits of the roll bar are reached, having contracted or ex
-
tended it as far as it can go, the effective roll bar remains
quite stiff: the roll angle will increase only moderately, up to
a maximum of 1 degree.
deg
s
1.51.00.5 2.0
1
2
3
Activa
Hydractive hard
Hydractive soft
deg
g
0.5 0.8
1
2
3
Activa
Hydractive hard

Related product manuals