EasyManua.ls Logo

Cooper & Hunter CH-S18FVX - Page 48

Cooper & Hunter CH-S18FVX
80 pages
Print Icon
To Next Page IconTo Next Page
To Next Page IconTo Next Page
To Previous Page IconTo Previous Page
To Previous Page IconTo Previous Page
Loading...
45
Installation and Maintenance
Service Manual
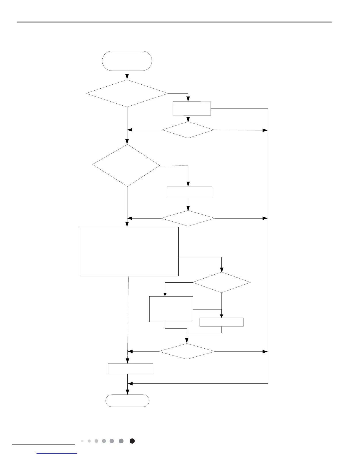
(4) Troubleshooting for H6 malfunction
Insert the motor
terminal tightly
Is mafunction
eliminated?
Is mafunction
eliminated?
Is mafunction
eliminated?
Re-assemble blade
and motor correctly
Whether
motor can be started
up
Replace motor
Replace controller
End
No
No
No
No
No
No
No
Yes
Yes
Yes
Yes
Yes
Yes
Yes
Yes
Yes
Yes
Energize the unit and turn on the unit.
Afterthe horizontal louver opens for 1
min, measurewhether the input DC
voltage VDC (red wire) of motor is300s,
whether the DC voltageVCC
(white wire0 is 15V and whether the
outputVSP (yellow wire) is more t
han 1.1V. The earthingwire is black wire;
Whether the voltage
on motor feedback
terminal (blue wire)
is more than 1.1V
Pull blade
with hand to see
whether
it can rotate
smoothly
Check whether the
terminal of DC motor is
connected tightly
Start the
troubleshooting
for H6 malfunction

Related product manuals