EasyManua.ls Logo

Creative NOMAD II - Page 47

Creative NOMAD II
51 pages
Print Icon
To Next Page IconTo Next Page
To Next Page IconTo Next Page
To Previous Page IconTo Previous Page
To Previous Page IconTo Previous Page
Loading...
36 MP3 Primer
3
0
The data extracted from an audio CD is
usually in .WAV format. The encoder reads
.WAV data and outputs MP3 data. These
data are put into an MP3 file.
MP3 encoding is the compressing of data by
transforming it into the frequency domain.
MP3 encoding/compression is quality-loss
compression and the amount of loss (of
quality) is dependent upon the sampling
rate of the output and the bit rate of the
output. The higher the sampling and bit
rates used, the better the quality of the
sound. This leads to more data storage and
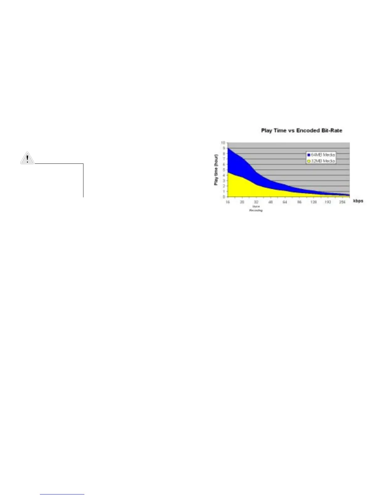
memory requirements. The amount of memory required for the NOMAD II player is proportional to audio
playback time.
For optimal quality, set your encoding bit rate at 128 kbps when you create MP3 files from audio CDs using
Creative Digital Audio Center.
0'

Through Internet web sites, you can download MP3 files either with or without charge, and get information about
the latest techniques and software related with MP3.
Examples of web sites with MP3 content are:
NOMAD World http://www.nomadworld.com
Amp3 http://www.Amp3.com
ArtistOne, Inc. http://www.ArtistOne.com
Big Heavy World http://www.BigHeavyWorld.com
Cductive http://www.Cductive.com
EMusic http://www.EMusic.com
Epitonic http://www.Epitonic.com
Sound Click http://www.SoundClick.com
The Digital Music Co. http://www.TDMCINC.com
It is illegal to encode MP3
files for trade or sale unless
you have the expressed and
explicit permission of the
copyright holder(s).

Related product manuals