EasyManua.ls Logo

Cybertek HCP8000 Series - Page 12

Cybertek HCP8000 Series
16 pages
Print Icon
To Next Page IconTo Next Page
To Next Page IconTo Next Page
To Previous Page IconTo Previous Page
To Previous Page IconTo Previous Page
Loading...
Shenzhen Zhiyong Electronics Co., Ltd
11
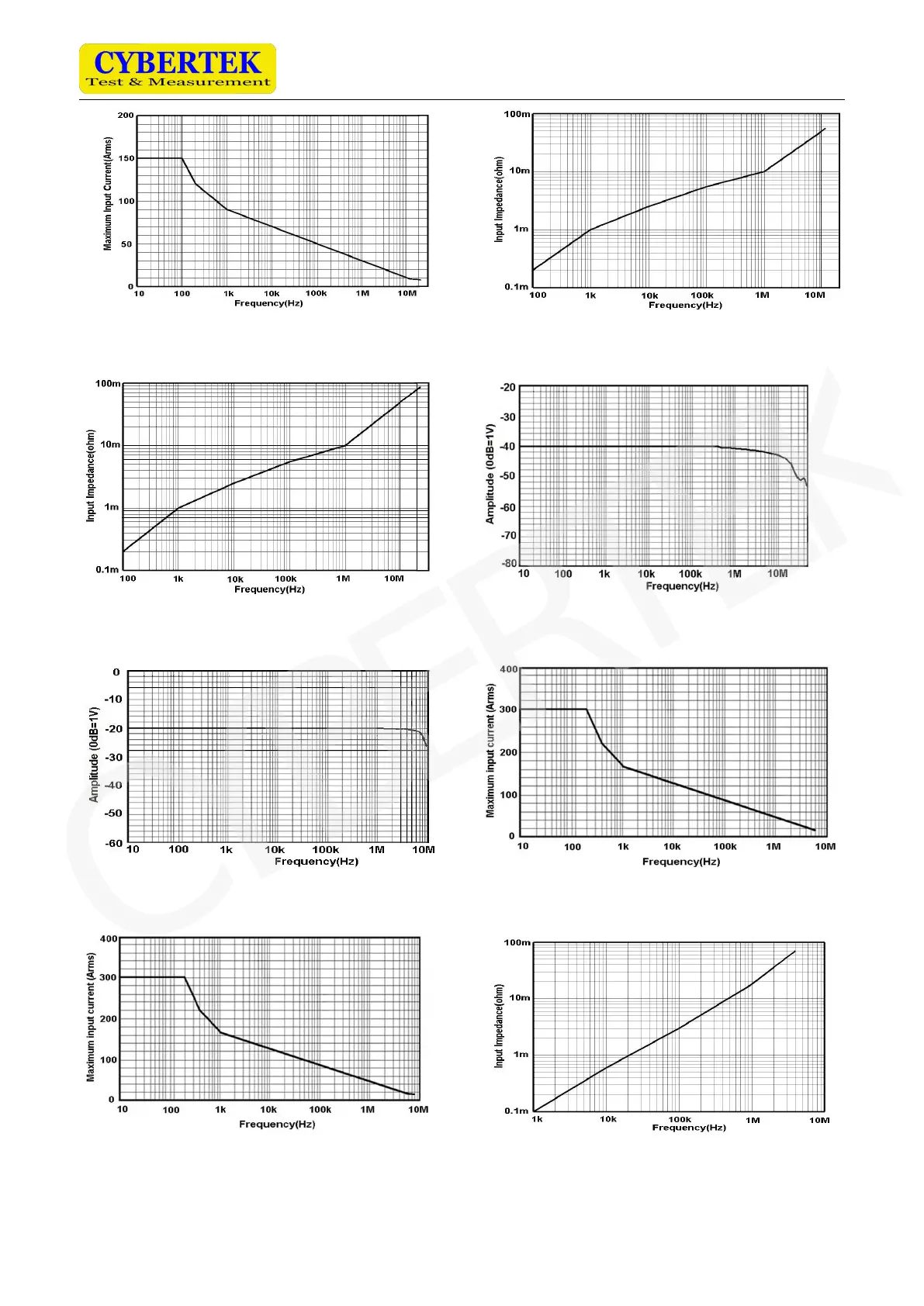
Fig 8.b HCP8150A Fig 9.a HCP8150
Continuous maximum input measurement Input Impedance-Frequency curve
Fig 9.b HCP8150A Fig 10.a HCP8300
Input Impedance-Frequency curve Amplitude-frequency Curve
Fig 10.b HCP8300A Fig 11.a HCP8300
Amplitude-frequency Curve Continuous maximum input measurement
Fig 11.b HCP8300A Fig 12 .a HCP8300
Continuous maximum input measurement Input Impedance-Frequency Curve
CYBERTEK

Table of Contents

Related product manuals