EasyManua.ls Logo

Daewoo DDW-G1213E - Troubleshooting: Heating Element Malfunction

Daewoo DDW-G1213E
29 pages
Print Icon
To Next Page IconTo Next Page
To Next Page IconTo Next Page
To Previous Page IconTo Previous Page
To Previous Page IconTo Previous Page
Loading...
Dishwasher
Edition: 2011-12 Model: DDW-G1213E
24
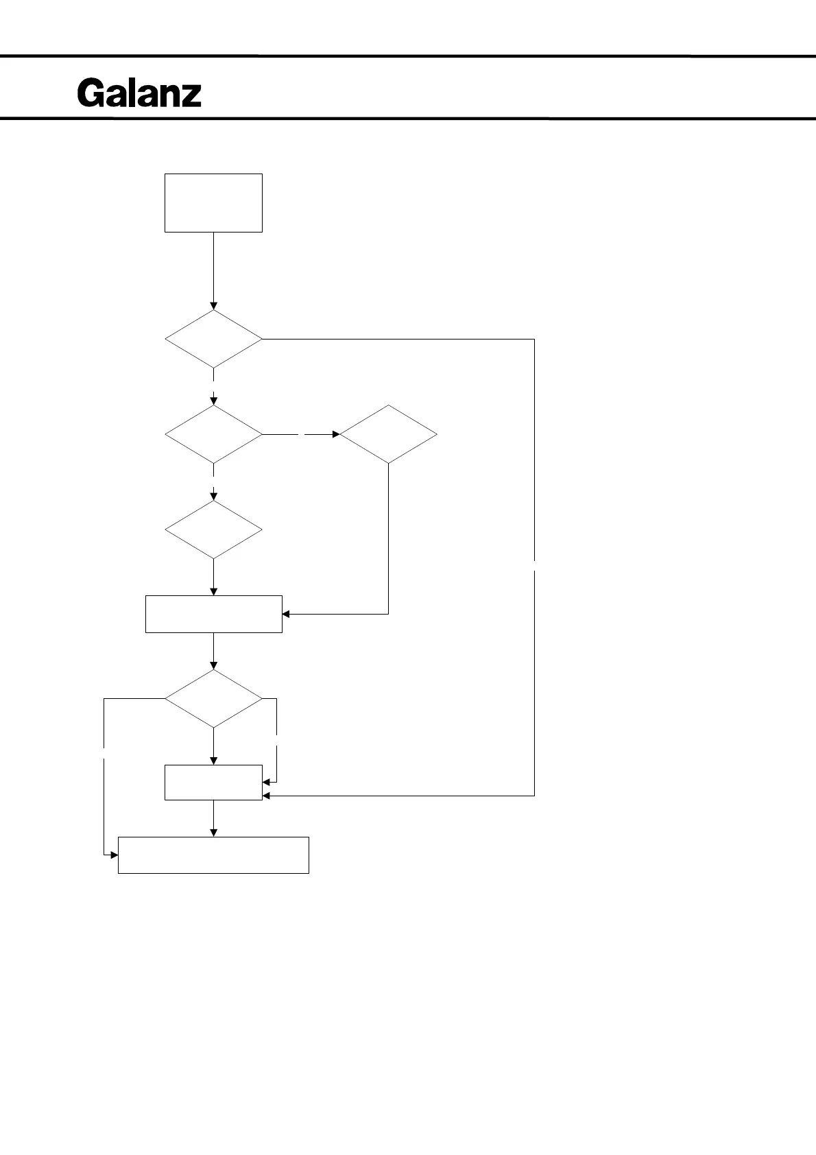
Heating element malfunction
E7
CN1 short or
open cuicrit?
The heater ok?
Y
The control wire
ok?
Y
Power on
E7?
Replace PCB
Maintenance record
N
Y
N
Replace heaterN