EasyManua.ls Logo

Daewoo FRU-571 Series - Page 42

Daewoo FRU-571 Series
74 pages
Print Icon
To Next Page IconTo Next Page
To Next Page IconTo Next Page
To Previous Page IconTo Previous Page
To Previous Page IconTo Previous Page
Loading...
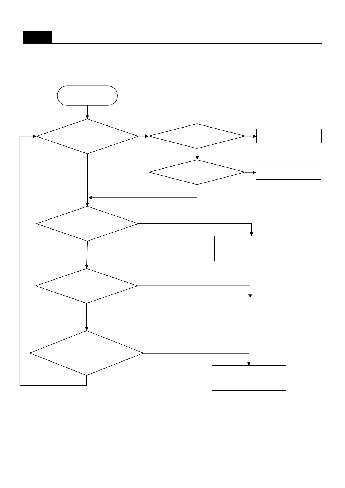
3. Ice formation on Freezer Louver
TROUBLE SHOOTING
Dews form on the
gasket surface
Start
Door opening is too
frquently?
Heat appliance are
too close?
Watery or hot foods are
stored in refrigerator
compartment?
Remove the gap
Wipe out dews on the louver
surface and run again
No
Yes
No
No
No
No
Gasket has a gap
between cabinet?
Door hang down? Reassemble the door
Yes
Yes
No
Make enough distance
between heat appliance and
refrigerator
Explain not to open too
frequently
Yes
Yes
Yes
41

Related product manuals