EasyManua.ls Logo

Daikin FBQ71D2VEB - Page 93

Daikin FBQ71D2VEB
215 pages
Print Icon
To Next Page IconTo Next Page
To Next Page IconTo Next Page
To Previous Page IconTo Previous Page
To Previous Page IconTo Previous Page
Loading...
ESIE15-13B Field Setting from Remote Controller
Field Setting 79
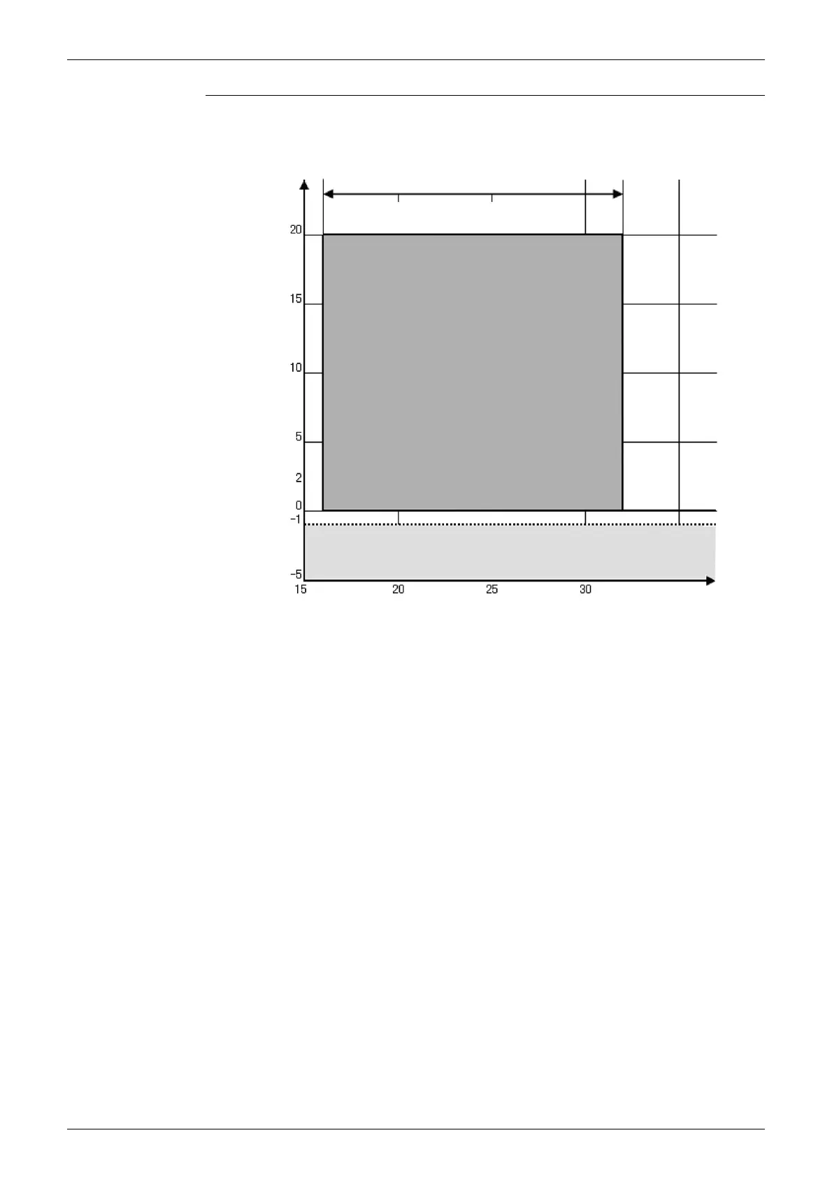
Graph 2 Target evaporating temperature control when "low humidity application" is selected. Field
setting 16(26)-2-03:
Te target
(˚C)
Te target acceptable area
Remote controller setting temp.
Te target limited 20˚C
(to protect the comp.)
Te (see note) target acceptable area
Indoor temp. > setting Te target down
Indoor temp. < setting Te target up
Te target limited 0˚C
Freeze protection
(40 min. integrated coil temp. -1˚C)
Indoor Temp
(˚C DB)

Table of Contents

Other manuals for Daikin FBQ71D2VEB

Related product manuals