EasyManua.ls Logo

Daikin Super Multi NX FBQ50C7VEB

Daikin Super Multi NX FBQ50C7VEB
501 pages
To Next Page IconTo Next Page
To Next Page IconTo Next Page
To Previous Page IconTo Previous Page
To Previous Page IconTo Previous Page
Loading...
SiBE121021_C Function of Indoor Unit (SA Models)
Function and Control 107
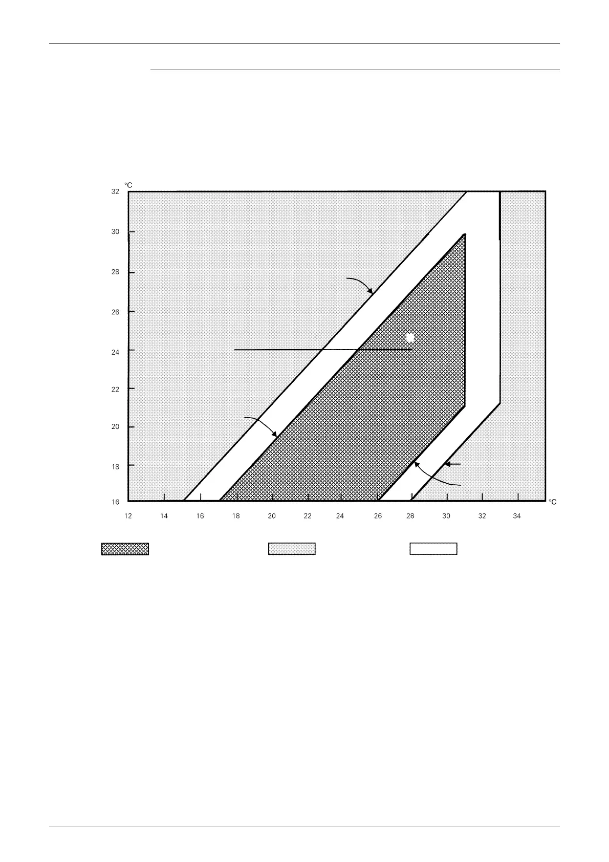
Heating When heating, the hot air rises to the top of the room, resulting in the temperature being lower
near the floor where the occupants are. When controlling by body thermostat sensor only, the
indoor unit may therefore be turned off by the thermostat before the lower part of the room
reaches the set temperature. The temperature can be controlled so the lower part of the room
where the occupants are does not become cold by widening the range in which thermostat
sensor in remote controller can be used so that suction temperature is higher than the set
temperature.
Assuming the set temperature in the figure above is 24°C, and the suction
temperature has changed from 18°C to 28°C (A
D):
(This example also assumes there are several other air conditioners, and the suction
temperature changes even when the thermostat sensor is off.)
Body thermostat sensor is used for temperatures from 18°C to 25°C (A
C).
Remote controller thermostat sensor is used for temperatures from 25°C to 28°C (C
D).
Assuming suction temperature has changed from 28°C to 18°C (D A):
Remote controller thermostat sensor is used for temperatures from 28°C to 23°C (D
B).
Body thermostat sensor is used for temperatures from 23°C to 18°C (B
A).
Set temperature
(Ts)
Range in which thermostat sensor
in remote controller can be used
Range in which body
thermostat sensor can
be used
Differential
Suction temperature (TH1)
TH1 = Ts - 1
TH1 = Ts + 12 33˚C
TH1 = Ts + 10 31˚C
TH1 = Ts + 1 31˚C
A
BC
D
(R12939)

Table of Contents

Related product manuals