EasyManua.ls Logo

Daitsu DS-18KIDB - Page 52

Daitsu DS-18KIDB
95 pages
Print Icon
To Next Page IconTo Next Page
To Next Page IconTo Next Page
To Previous Page IconTo Previous Page
To Previous Page IconTo Previous Page
Loading...
56
Installation and Maintenance
Service Manual
(2)
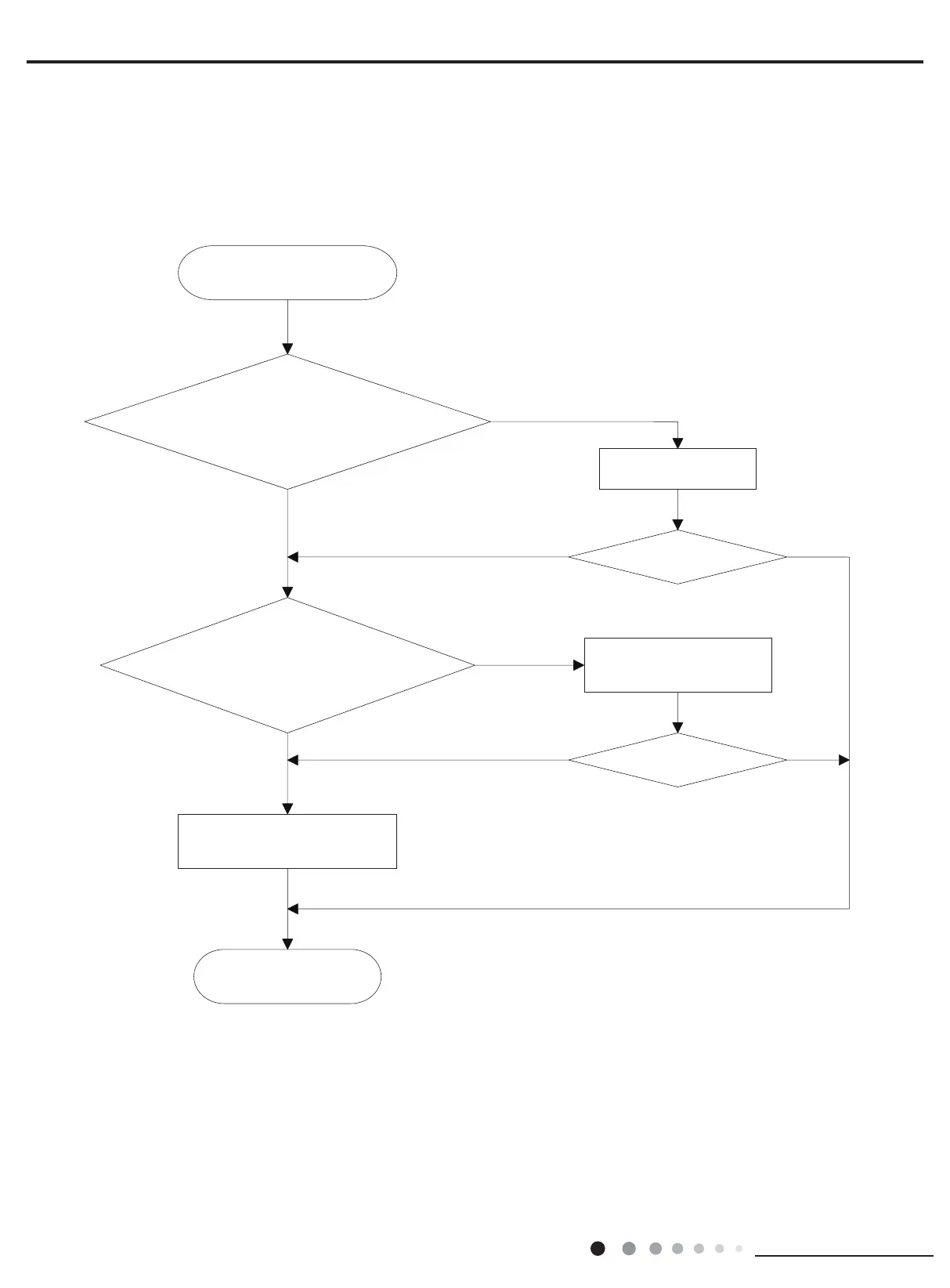
Malfunction of Temperature Sensor (F3/F4/F5)
Main check point:
Whether the temperature sensor is damaged?
Whether the terminal of temperature sensor is loose or not connected?
Whether the main board is damaged?
Malfunction diagnosis process:
Start the troubleshooting for
temperature sensor
Check the connection between
temperature sensor and wiring
terminal is loose or in poor connection
Check whether the temperature sensor
is normal according to the Resistance
Value Table for Temperature Sensor?
Insert the temperature
sensor well
Is malfunction eliminated?
Is malfunction eliminated?
Replace the
temperature sensor
Replace the controller
End
No
No
No
No
Yes
Yes
Yes
Yes

Related product manuals