EasyManua.ls Logo

Daitsu DS-18KIDB - Page 53

Daitsu DS-18KIDB
95 pages
Print Icon
To Next Page IconTo Next Page
To Next Page IconTo Next Page
To Previous Page IconTo Previous Page
To Previous Page IconTo Previous Page
Loading...
57
Installation and Maintenance
Service Manual
(3)
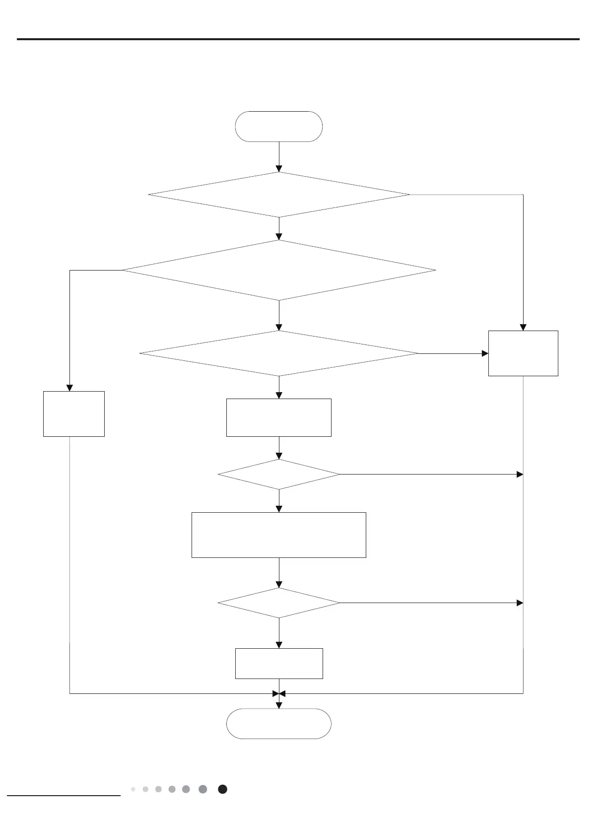
Malfunction of Overload Protection of Compressor (H3) and Discharge High-temperature Protection of Compressor (E4)
Main check point:
Whether the electronic expansion valve is connected well and whether its damaged?
Whether the refrigerant is leaking?
Whether the overload protector is damaged?
Malfunction diagnosis process:
Start
Whether the overload protector is
connected?
Replace overload
protector
Connect wire
correctly according
to circuit diagram
Measure the resistance between both
ends of overload protector under
ambient temperature. Whether the
resistance <1KΩ?
Whether wire connection wire electronic
expansion valve is in good condition?
Check the coil of electronic
expansion valve. If its
damaged, please replace it.
Is malfunction eliminated?
If the refrigerant is leaking,
please add refrigerant
according to Service Manual.
Is malfunction eliminated?
Replace main board of
outdoor unit
End
Yes
Yes
Yes
Yes
No
No
No
No
Yes
No
Remark:
Detection method for electronic expansion valve: There are 5 wires for the coil of electronic expansion valve and one of them are
common port (the left or the right wire) .The resistance for other terminals are all most the same (about 100Ω). You can measure
those resistance values to judge whether the electronic expansion valve is damaged or not.

Related product manuals